서 론
재료 및 방법
식물 재료
생장상 및 온실 온도 조건에서 잡초 종자 출아율 예측
생장상 및 온실 수분 조건에서 잡초 종자 출아율 예측
가는털비름 지역별 출아시기 예측
결과 및 고찰
생장상 및 온실 온도 조건에서 가는털비름 종자 출아율 및 초기 생육 예측
생장상 및 온실에서 수분조건별 가는털비름 종자 출아율 예측
가는털비름 지역별 출아시기 예측
적 요
서 론
지구 온난화는 전 세계적으로 생태계에 심각한 영향을 미치며, 특히 농업 부문에 큰 변화를 야기하고 있다. 기온 상승, 강수 패턴 변화, 해수면 상승, 극한 기상 현상 증가 등기후 변화는 농작물 생육, 토양 침식, 병해충 및 잡초 발생 등에 직접적인 영향을 미쳐 농업 생산성을 저하시키고 식량 안보를 위협한다(IPCC, 2021). 우리나라 역시 예외는 아니어서, 대기온도와 CO2 농도 증가에 따른 농업 생산성에 직접적인 영향을 미치고 있으며, 특히 잡초의 생장과 번식에도 큰 변화를 가져오고 있다(Lee et al., 2023).
잡초는 농작물과 물, 영양분, 빛을 두고 경합하여 생육을 저해하고 농업 생산성을 감소시키는 주요 원인 중 하나이다(van Heemst, 1985). 따라서 효과적인 잡초 관리는 농업 생산성 향상을 위해 필수적이다. 잡초의 출아 시기를 정확하게 예측하고 적절한 방제 시기를 결정하는 것은 효과적인 잡초 관리를 위한 첫걸음이다.
비름속(Genus Amaranthus) 식물은 전 세계적으로 약 70종이 분포하고 있으며, 국내에 서식하는 비름속 식물은 모두 외래종으로 분류된다(Costea and DeMason, 2001; Judd et al., 2008; Park, 2009). 이 중 가는털비름(Amaranthus patulus)은 남아메리카가 원산지로, 국내 전역의 농경지, 농경지 인근, 하천변, 나지, 도로변 등에 광범위하게 분포하고 있다. 가는털비름은 일년생 초본으로, 3~4월에 발아하여 7~10월에 개화한다. 줄기는 60~300 cm 정도로 직립하는 중대형 식물이며, 잎은 호생하고 난형으로 길이 5~12 cm이다. 잎 가장자리는 무거치이며 주름이 있는 특징을 보인다(Park, 2009). 가는털비름은 다양한 환경 조건에 적응력이 뛰어나며, 특히 건조한 환경에서도 잘 자라는 특징을 가지고 있으며 농경지에서 심각한 잡초 문제를 야기한다. 특히 고추 재배지에서의 생육을 저해하고 수량을 감소한다는 연구가 보고된 바 있다(Won et al., 2012). 외래잡초의 확산은 작물 재배와 관리에 경제적 부담을 초래하고 있다(David et al., 2004). 이들은 다양한 유입 경로를 통해 신속하게 분포 영역을 확장하고 있으며, 환경 조건에 대한 높은 내성을 지니고 있다(Gould, 1991; Jordan and Jannink, 1997; Martinez-Ghersa et al., 2000; Mohler, 2001). 특히, 외래식물인 가는털비름의 출아를 정확히 예측하여 효과적인 방제 전략을 수립하는 것이 시급하다.
잡초의 출아는 온도, 수분, 토양 종류, 광 조건, 경합 식물의 유무 등 다양한 환경 요인에 의해 영향을 받는 복잡한 과정이다. 특히 온도와 수분은 잡초 종자의 휴면 타파, 발아, 초기 생장에 가장 큰 영향을 미치는 환경 요인으로 알려져 있다(Baskin & Baskin, 1998; Grime, 1977). 수분 조건은 종자의 흡수를 촉진하여 발아를 유도한다. 반면에 토양의 수분 함량이 적절하지 않으면 종자는 휴면 상태를 유지하거나 고사할 수 있다(Grime, 1977).
잡초 출현 모델의 개발은 잡초 관리 전략 수립하는 데 중요한 기초가 될 수 있다(Forcella et al., 2000; Izquierdo et al., 2009). 열 자수(termal, TT) 및 수열(hydrothermal, HTT) 지수를 설명 변수로 사용하는 파라메트릭 비선형 회귀 모델(예: Weibull, Gompertz)은 지금까지 실용적인 잡초 출현 예측에 가장 널리 사용되는 접근 방식 중 하나이다(Bradford, 2002). 한 예로, Moon et al. (2004)은 Gompertz 모델을 이용하여 논 잡초의 출아 및 특정 엽령에 도달하는 데 필요한 유효적산온도를 산출하여 잡초 방제 시기 결정에 유용하게 활용할 수 있음을 제시하였다. 하지만 Gompertz 모델 외에도 Logistic 모델(Richards, 1959)과 Weibull 모델(Weibull, 1951) 등 다양한 성장 모델이 잡초 출아 과정을 설명하는 데 사용될 수 있다. 각 모델은 고유한 특징과 적용 범위를 가지고 있으며, 어떤 모델이 가장 적합한지는 분석하고자 하는 데이터의 특성과 연구 목적에 따라 달라진다. 따라서 본 연구는 기후 변화에 따른 온도 변화 뿐만 아니라, 강우 패턴 변화에 따른 토양 수분 조건 변화가 가는털비름의 출아 과정을 가장 잘 설명할 수 있는 모델을 선정하고, 보다 정확한 출아 시기 예측 모델을 개발하여 효과적인 잡초 관리에 기여하고자 한다.
재료 및 방법
식물 재료
본 연구에 사용된 가는털비름 2023년 순천대학교 시험포장에서 10월에 수확하여 정선한 후, 4℃의 저온 냉장고에 보관하였다가 실험 전 사용하였다.
생장상 및 온실 온도 조건에서 잡초 종자 출아율 예측
순천대학교 밭 시험포장에서 채취한 사양토를 100메시(mesh) 체로 걸러 준비한 후, 원형 Pot(200 mL)에 충진하였다. 가는털비름 종자를 각각 Pot당 30개씩 파종하고, 0.5cm 깊이로 복토하였다. 이들 Pot은 주/야(14/10시간) 온도가 각각 25/15℃, 30/20℃ 및 35/25℃로 조절된 챔버(Multi-Room Incubator, VS-1203PFC-LN)에 완전 임의 배치로 배치하였다. 모든 Pot의 흙 양은 동일하게 조절하였으며, 물은 매일 동일한 양을 공급하였다.
온실 실험의 경우 생장상 실험과 동일하게 수행하였으나, 온도 조건을 다르게 설정하였다. 실험 기간 동안 평균 온도는 각각 26℃, 29℃, 31℃로 조절된 온실(500 µmol m-2 s-1 PAR, 70% 상대습도)을 사용하였다. 실험 기간 중 평균 온도는 온도 측정기(SATO KEIRYOKI MFG.CO., LTD. Model SK-L200TH II α)를 이용하여 15분 간격으로 측정하고, 실험 기간의 평균 값으로 산출하였다.
파종 후 매일 각 잡초 종의 출아 개체수를 기록하였으며, 온실 조건에서 초장은 5일 간격으로 측정하였다. 이 데이터를 바탕으로 출아율과 초장은 아래의 Gompertz 모델을 이용하여 분석하였다. 파종 후 일수 및 유효 적산온도에 따른 출아율과 초장은 Gompertz 모델을 활용한 비선형 회귀 분석을 통해 계산하였다. 실험 기간 동안의 일별 유효 적산온도는 잡초 발아 최저 온도인 10℃를 제외한 값을 누적하여 산출하였다. 참고로, 기준 온도 10℃는 온도별 발아 실험 결과를 바탕으로 선정하였다.
잡초 출아예측에 활용되는 Gompertz 모델. Y = 누적 출아 개체율, C = 최대 누적 출아율, B = 초기 증가율, m = 최대 누적 출아율(C)이 50%에 도달하는데 소요되는 기간 또는 유효적산온도, t = 파종 후 일수 또는 파종 후 유효적산온도
생장상 및 온실 수분 조건에서 잡초 종자 출아율 예측
토양 수분은 40%, 60%, 80% 및 100%로 조절하였다. 이를 위해 각 포트에 토양 130 g을 넣고, 각 수분 조건에 맞는 물의 양을 조절하여 토양 수분을 설정하였다. 실험 시작 전에 포트당 무게를 측정한 후, 매일 포트의 무게를 측정하여 부족한 수분만큼 물을 보충하였다. 생장상 수분 조건 실험에서는 온도를 주/야간(14시간/10시간)으로 30/20℃로 유지하였고, 온실 수분 조건 실험에서는 실험 기간 동안 평균 온도를 29℃로 유지하였다. 그 외에 포트 내 토양 준비, 파종 방법, 조사 방법 등은 위의 “생장상 및 온실 온도 조건에서 잡초 종자 출아율 예측” 실험과 동일하게 진행하였다.
가는털비름 지역별 출아시기 예측
온실 조건에서 진행한 잡초 종 실험 기간을 바탕으로 유효적산온도를 산출하였으며, 주요 지역(연천, 홍천, 충주, 김제, 순천)의 농업날씨 365(https://weather.rda.go.kr/)에서 제공한 2024년 1년, 최근 5년(2020~2024), 및 최근 10년(2015~2024) 동안의 지역별 평균 기온을 활용하여 유효적산온도를 추가로 산출하였다. 이들 일별 유효적산온도와 관찰된 출아율을 기반으로 Compertz 모델을 이용한 비선형 회귀 분석을 수행하였다. 잡초 종 출아 실험에서 최초 출아일과 Compertz 모델을 통해 구한 최대 출아율의 50%에 도달하기까지 필요한 유효적산온도를 계산하여, 주요 지역별 출아 시기를 예측하였다.
결과 및 고찰
생장상 및 온실 온도 조건에서 가는털비름 종자 출아율 및 초기 생육 예측
생장상 3가지 온도 조건(25/15℃, 30/20℃, 35/25℃)에서 가는털비름의 출아율을 조사하였다(Fig. 1). 가는털비름의 출아 개시는 3가지 온도 조건 모두에서 3~6일이 소요되었으나, 온도가 높은 35/25℃ 조건에서 가장 빨랐다. 특히, 최대 출아율은 25/15℃, 30/20℃, 35/25℃ 조건에서 각각 36%, 48%, 78%로, 온도가 높을수록 최대 출아율이 증가하는 경향을 보였다.
가는털비름의 최대 출아율 50%에 도달하는 데 걸린 일수는 25/15℃, 30/20℃, 35/25℃ 조건에서 각각 6.5일, 4.3일, 1.9일이었다. 결과적으로 가는털비름은 온도가 높을수록 출아 개시가 빨라지고 최대 출아율이 증가하는 경향을 보였다. 이는 가는털비름의 생리적 반응과 대사활동이 온도에 의해 촉진되기 때문으로 해석된다. 또한, 다른 연구에서도 유사한 결과가 나타났으며(Lee et al., 2019; Park et al., 2021), 식물의 발아 과정에서 온도가 중요한 역할을 한다는 점을 의미한다. 따라서, 기후변화에 따른 온도 변화가 농작물의 출아율에 미치는 영향을 지속적으로 모니터링할 필요가 있다. 생장상 3가지 온도 조건에서 얻은 데이터를 바탕으로 파종 후 일별 출아율과 Gompertz 모델을 이용하여 비선형 회귀분석을 수행한 결과, 가는털비름의 최대 출아율 50%에 도달하는 데 걸리는 평균 일수는 3.2일로 계산되었다. 그러나, R2값과 최대 출아율(C값)이 낮아 이 모델이 출아 예측에는 적합하지 않은 것으로 판단되었다.
유효적산온도를 이용한 모델 구축을 위해, 파종 후 일별 평균 온도에서 발아 최저 온도인 10℃를 차감하여 유효적산온도를 계산하고 Gompertz 모델을 적용하였다. 그 결과, 가는털비름의 최대 출아율 50%에 도달하는 누적 유효적산온도(M값)는 25/15℃, 30/20℃, 35/25℃ 조건에서 각각 65℃, 64℃, 37℃로 나타났다. 3가지 온도 조건의 결과를 종합하여 Gompertz 모델을 이용해 비선형 회귀분석을 수행한 결과, 출아율 50%에 도달하는 누적 유효적산온도(M값)는 74℃, 최대 출아율(C값)은 73%, R2값은 0.70으로 나타났다. 이를 바탕으로 가는털비름의 출아 예측이 가능할 것으로 판단된다.
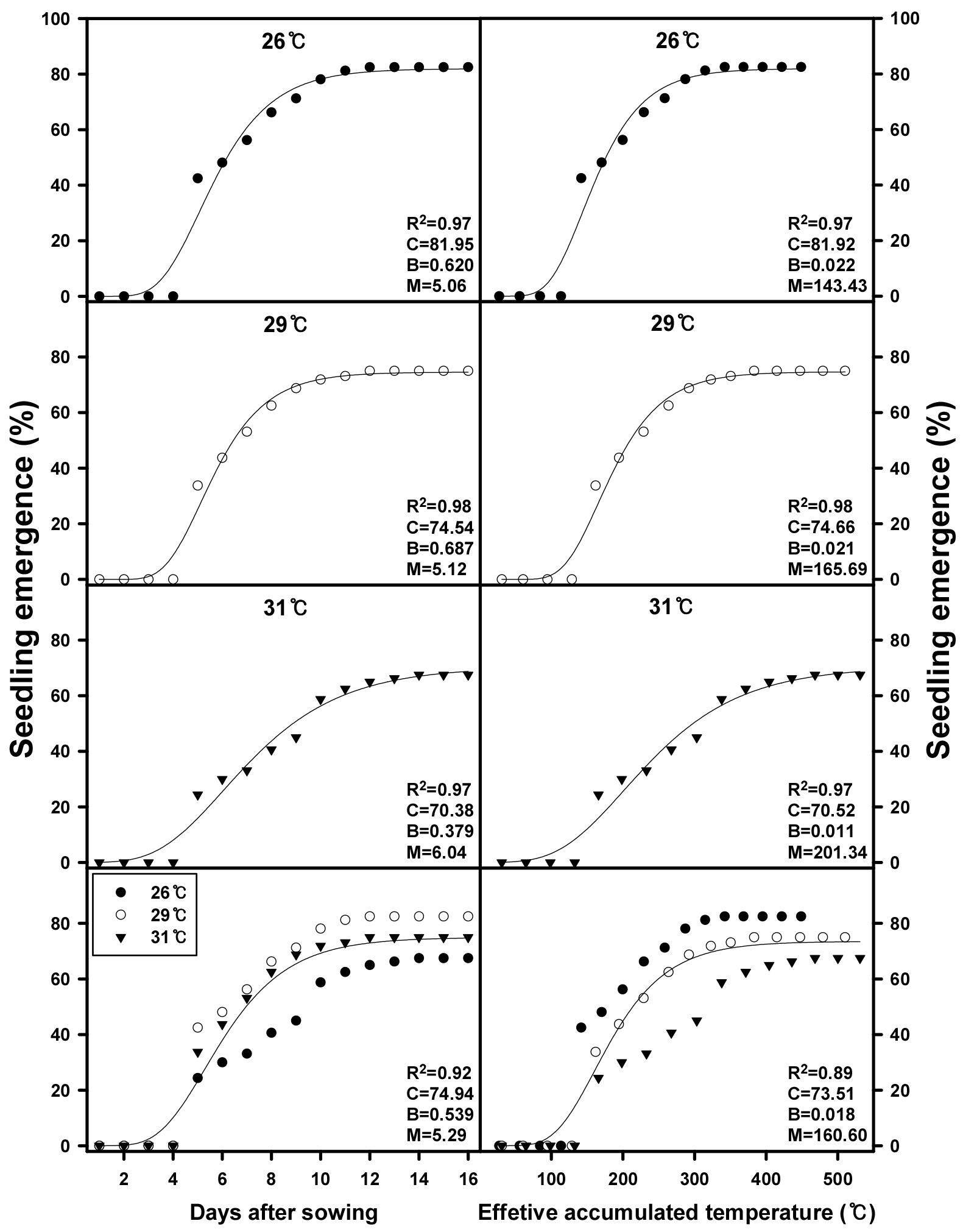
기후변화로 인한 온도 상승을 고려하여, 실험 기간 동안 평균 일일 온도가 상대적으로 높은 3가지 온실 조건(26℃, 29℃, 31℃)에서 가는털비름의 출아율을 조사하였다(Fig. 2). 가는털비름의 출아 개시는 3가지 온도 조건 모두에서 5일이 소요되었으며, 최대 출아율은 26℃에서 81%로 가장 높았고, 29℃와 31℃에서는 70~74%로 유사한 수준을 보였다. 최대 출아율의 50%에 도달하는 데 걸린 일수는 26℃, 29℃, 31℃ 조건에서 모두 5~6일이었다. 앞의 생장상과 달리, 상대적으로 온도가 높은 조건에서는 온도 상승에 따른 출아 지연이 관찰되었다. 이는 온실 내 환경 요인이 생장상 조건과 다를 가능성이 있다. 예를 들어, 상대습도, 광량, CO₂농도 등 추가적인 환경 요인들이 출아 및 초기 생장에 영향을 미쳤을 것으로 판단된다(Park et al. 2021).
온실 조건에서 얻은 데이터를 기반으로 파종 후 일별 출아율과 Gompertz 모델을 이용하여 비선형 회귀분석을 수행한 결과, 가는털비름의 최대 출아율 50%에 도달하는 데 걸리는 평균 일수는 5.2일로 계산되었다. 이는 앞서 생장상 조건보다 출아일이 다소 늦게 나타났으나, R2값과 최대 출아율(C값)이 높아 이 모델이 출아 예측에 적합할 것으로 판단되었다. 향후 연구에서는 다양한 환경 조건에서의 Gompertz 모델의 적합성을 비교 분석하여 보다 신뢰할 수 있는 예측 모델을 개발할 필요가 있을 것으로 판단된다.
유효적산온도를 이용한 모델 구축을 위해, 파종 후 일별 평균 온도에서 발아 최저 온도(10℃)를 차감하여 유효적산온도를 계산하고 Gompertz 모델을 적용하였다. 그 결과, 가는털비름의 최대 출아율 50%에 도달하는 누적 유효적산온도(M값)는 26℃, 29℃, 31℃ 조건에서 각각 143℃, 165℃, 201℃로 나타났다. 3가지 온도 조건의 결과를 종합하여 Gompertz 모델을 이용해 비선형 회귀분석을 수행한 결과, 출아율 50%에 도달하는 누적 유효적산온도(M값)는 160℃, 최대 출아율(C값)은 74%, R2값은 0.89로 계산되었다. 온실 조건에서는 생장상 조건에 비해 최대 출아율(C값)은 유사했으나, 누적 유효적산온도(M값)는 생장상 조건의 약 3배 수준으로 높았고, R2값 역시 더 높게 나타났다. 이는 재배 환경에 따라 식물의 생장 특성이 달라질 수 있음을 시사하는 논문과 유사한 결과이다(Park et al., 2021). 따라서, 유효적산온도를 기반으로 한 예측 모델은 특정 재배 환경에 맞춰 조정될 필요가 있으며, 이를 통해 농업 생산성을 극대화할 수 있을 것이다.
제초제 처리시기 판단 기준에 중요한 생장지표로서 가는털비름의 초장을 측정하고 유효적산온도와의 관계를 조사하였다(Fig. 3). 온도조건별 초장과 유효적산온도를 Gompertz 모델을 이용한 결과, 최대 초장 50%에 도달하는 유효적산온도 M값은 437℃로 나타났다. 이는 생장과 관련된 중요한 생리적 지표로 활용될 수 있다. 초기 생장단계와 유효 적산 온도 간의 관계를 개선하기 위한 많은 연구가 진행되어 왔다(Morita, 2000; Moon et al., 2004; Park et al., 2010). 예를 들어, Echinochloa crus-galli와 Aneilema keisak의 2엽기 유효적산온도는 각각 127~128℃와 110~120℃로 추정되었다(Moon et al., 2004). 따라서, 향후 연구에서는 초장과 유효적산온도 간의 관계를 더욱 심층적으로 분석하여, 제초제의 효과적인 사용 시기를 제안할 수 있는 기초 자료를 제공할 필요가 있다.
생장상 및 온실에서 수분조건별 가는털비름 종자 출아율 예측
생장상에서 토양 수분 조건(40%, 60%, 80%, 100%)에 따라 가는털비름의 출아율을 조사하였다(Fig. 4). 가는털비름의 출아 개시일과 최대 출아율의 50%에 도달하는 데 걸린 일수는 모든 수분 조건에서 4~5일로 유사했으나, 최대 출아율은 토양 수분 조건별로 각각 69%, 76%, 89%, 94%를 보여 수분이 많을수록 출아율이 높아지는 경향을 보였다. 토양 수분 4가지 조건에서 얻은 파종 후 출아율 데이터를 Gompertz 모델을 이용해 종합적으로 분석한 결과, 최대 출아율은 82%로 나타났으며, 최대 출아율의 50%에 도달하는 데 걸리는 시간은 4.3일로 계산되었다.
누적 토양 수분을 이용한 모델 구축을 위해, 토양 수분 4가지 조건 데이터를 Gompertz 모델을 적용하여 분석한 결과, 최대 출아율의 50%에 도달하는 누적 토양 수분은 279%로 나타났다. 또한, 지역별로 지온 뿐만 아니라 토양 수분 데이터를 기상청과 같은 기관으로부터 제공받을 수 있다면, 본 연구 결과를 유효적산온도와 함께 활용하여 잡초 종의 출아율 예측에 적용할 수 있을 것으로 판단된다. 본 연구 결과는 잡초 종의 출아율 예측 모델을 구축할 때 온도 뿐만 아니라 토양 수분도 중요한 지표로 활용될 수 있음을 시사한다.
온실에서 토양 수분 조건(40%, 60%, 80%, 100%)에 따라 가는털비름의 출아율을 조사하였다(Fig. 5). 가는털비름의 출아 개시일은 모든 수분 조건에서 6일로 유사했으며, 최대 출아율의 50%에 도달하는 데 걸린 일수도 모든 수분 조건에서 7일로 유사한 결과를 보였다. 최대 출아율은 토양 수분 조건별로 각각 75%, 81%, 88%, 92%로 나타났으며, 수분이 많을수록 출아율이 높아지는 경향이 관찰되었다. 이러한 결과는 앞선 생장상 실험의 결과 뿐만 아니라 선행연구(Park et al., 2021)와 유사한 경향을 보였다. 따라서 가는털비름과 같은 잡초 종의 경우, 수분이 충분할 때 출아율이 극대화된다는 점은 잡초 관리 및 제어 전략 수립에 중요하게 활용되리라 판단된다.
토양 수분 4가지 조건에서 얻은 파종 후 출아율 데이터를 Gompertz 모델을 이용해 종합적으로 분석한 결과, 최대 출아율은 84%로 나타났으며, 최대 출아율의 50%에 도달하는 데 걸리는 시간은 6.9일로 계산되었다. 누적 토양 수분을 이용한 모델 구축을 위해, 토양 수분 4가지 조건 데이터를 Gompertz 모델에 적용하여 분석한 결과, 최대 출아율의 50%에 도달하는 누적 토양 수분은 431%로 나타났다. 이는 앞선 생장상 실험 결과보다 높은 누적 토양 수분 값을 보여준다. 이는 온실 조건에서 일정한 고온 환경이 종자의 수분 흡수 속도를 조절하거나 토양 수분 유지 특성에 영향을 미쳤을 수 있음을 의미한다. 이러한 차이를 보다 명확히 이해하기 위해서는 온도와 수분 조건의 상호작용을 고려한 추가연구가 필요할 것으로 판단된다.
가는털비름 지역별 출아시기 예측
온실 온도조건에서 가는털비름 종자 출아율 자료를 통합하여 Gompertz 모델을 이용한 비선형 회귀분석 결과, 출아 개시에 필요한 누적 유효적산온도는 156℃로 추정되었다(Fig. 6). 기후 분포 차이가 예상되는 강원도 연천과 홍천, 충북 충주, 전북 김제, 전남 순천 지역을 대상으로, 농업날씨 365에서 제공한 최근 10년간(2015~2024년), 최근 5년간(2020~2024년) 및 2024년 4~5월의 일평균 기온에서 10℃를 제외하여 1일 유효적산온도를 산출하였다. 가는털비름의 출아 개시에 필요한 누적 유효적산온도 156℃를 기준으로 분석한 결과, 최근 10년간 유효적산온도를 활용한 경우 가는털비름의 출아일은 충주가 5월 12일로 가장 빠르고, 그 다음으로 순천(5월 13일), 연천과 김제(각각 5월 17일), 홍천(5월 20일) 순으로 나타났다. 최근 5년간 유효적산온도를 활용한 경우의 출아일도 최근 10년간 유효적산온도를 활용한 경우와 1~2일의 차이에 불과하여 유사한 결과를 보였다. 그러나 2024년 유효적산온도를 활용한 경우, 가는털비름의 출아일은 충주가 4월 29일로 가장 빠르고, 그 다음으로 순천(5월 2일), 연천(5월 3일), 김제(5월 6일), 홍천(5월 10일) 순으로 나타났다. 최근 10년 및 5년간의 출아일과 비교했을 때, 2024년의 경우 출아일이 최대 11~13일 정도 빨라졌다. 이는 2024년의 평균 기온 상승으로 인해 누적 유효적산온도가 빠르게 충족되었음을 보여주며, 기후변화가 잡초 종자의 발아 및 생육 시기에 미치는 영향을 정량적으로 제시한다(Kim et al., 2022). 이러한 결과는 온도 상승이 농업 생태계에 미치는 영향을 이해하는 데 중요한 과학적 근거를 제공한다. 특히, 가는털비름과 같은 주요 잡초 종자의 조기 출아는 작물과의 생육 경합을 초래할 수 있기 때문에 효과적인 잡초를 관리를 위해 제초제 처리시기를 앞당겨 함을 의미한다.

Fig. 6.
Regional predictions for the emergence date of Amaranthus patulus based on accumulated effective temperature required for emergence initiation. Panels: A) Last 10 years (2015~2024), B) Last 5 years (2020~2024), C) 2024 projections based on accumulated effective temperature, D) Predictions from 2024 onward.
가는털비름 최대 출아율의 50%에 도달하는 누적 유효적산온도 161℃를 기준으로 분석한 결과, 최근 10년간(2015~2024년) 유효적산온도를 활용했을 때 최대 출아율의 50%에 도달하는 출아일은 충주와 순천이 5월 13일로 가장 빠르고, 연천과 김제가 5월 17일, 홍천이 5월 20일 순으로 나타났다(Fig. 7). 최근 5년간(2020~2024년) 유효적산온도를 활용했을 경우, 출아일은 충주가 5월 12일로 가장 빠르며, 그 다음으로 순천(5월 14일), 연천(5월 17일), 김제(5월 18일), 홍천(5월 22일) 순으로 나타나 최근 10년간의 출아일과 큰 차이가 없었다. 반면, 2024년 유효적산온도를 활용한 경우, 최대 출아율의 50%에 도달하는 출아일은 충주가 4월 30일로 가장 빨랐고, 그 다음으로 순천(5월 3일), 연천(5월 4일), 김제(5월 8일), 홍천(5월 11일) 순으로 나타났다. 본 연구에서 충주와 순천에서 가는털비름의 출아 개시일 및 최대 출아율의 50%에 도달하는 일수가 다른 지역에 비해 빠르게 나타났다. 이는 충주와 순천이 상대적으로 높은 평균 기온을 기록하고 있음을 반영한다. 반면, 홍천과 같은 고위도 지역에서는 출아일이 다소 늦게 나타났으며, 이는 지역적 기후 조건의 차이를 잘 보여준다. 이러한 지역 간 차이를 고려하면, 잡초 관리 전략 역시 지역별 맞춤형으로 접근할 필요가 있다. 지역별로 잡초 종자의 출아 시기를 예측하고 관리 방안을 마련하면 제초제 사용의 효율성을 높이고, 농업 생산성 저하를 방지할 수 있을 것이다. 앞선 출아 개시일 분석과 유사하게, 최대 출아율의 50%에 도달하는 출아일은 지역간에 차이는 있지만 최근 10년 및 5년간에는 큰 차이가 없었다. 그러나 2024년의 경우 최대 출아율의 50%에 도달하는 출아일은 충주가 4월 30일로 가장 빨랐고, 순천(5월 3일), 연천(5월 4일), 김제(5월 8일), 홍천(5월 11일) 순으로 나타났다. 2024년의 경우 최대 출아율은 최근 5년 및 10년과 비교하여 약 10~17일 정도 앞당겨진 것으로 나타났다. 이는 출아 개시일 뿐만 아니라 최대 출아율의 50%에 도달하는 출아일에서도 기후변화로 인해 가는털비름의 출아가 빨라질 가능성을 시사한다. 기후변화로 인해 잡초의 조기 출아가 예상됨에 따라, 기존의 제초제 처리 시기보다 앞당긴 관리가 요구된다. 이러한 정보는 농업 현장에서의 의사 결정 지원 시스템에 포함될 수 있으며, 작물-잡초 간 생육 경쟁을 줄이는 데 기여할 수 있다. 그러나 본 연구에서는 유효적산온도를 기반으로 한 출아 예측에 초점을 맞추었으나, 토양 수분, 광량, 일조 시간 등 다른 환경 요인들도 잡초 출아에 영향을 미칠 수 있다. 따라서 향후 연구에서는 이러한 요인들을 통합적으로 고려한 다변량 모델을 개발하여 예측의 정확성을 높일 필요가 있다. 또한 모델의 예측 정확도를 높이기 위해 가는털비름과 다른 잡초 종의 발아 특성을 비교 분석하여 연구 범위를 확장할 필요가 있고, 실험실 및 온실 조건 외에 실제 농경지나 자연 환경에서의 실험을 추가하여 연구 결과의 현장 적용 가능성을 제고할 필요가 있다. 그럼에도 불구하고 본 연구는 기후변화에 대응하는 농업 및 환경 정책 수립에 중요한 기초 자료로 활용될 수 있을 것으로 사료된다.

Fig. 7.
Regional predictions for the emergence date of Amaranthus patulus, focusing on the accumulated effective temperature necessary for a 50% emergence rate. Panels: A) Last 10 years (2015~2024), B) Last 5 years (2020~2024), C) 2024 projections based on accumulated effective temperature, D) Predictions from 2024 onward.
적 요
본 연구는 기후 변화에 따른 온도 및 수분 변화가 가는털비름의 출아 과정에 미치는 영향을 규명하고, 정확한 출아 시기 예측 모델을 개발하여 효과적인 잡초 관리에 기여하고자 하였다. 생장상 및 온실에서 온도와 토양 수분 조건을 달리하여 가는털비름 종자의 출아율을 조사하고, Gompertz 모델을 이용하여 출아율과 유효적산온도, 누적 토양 수분 간의 관계를 분석하였다. 또한, 국내 다양한 지역의 기상 데이터를 활용하여 가는털비름의 지역별 출아 시기를 예측하였다. 생장상과 온실에서 서로 다른 온도 조건(25/15℃, 30/20℃, 35/25℃ 및 26℃, 29℃, 31℃)에서 가는털비름의 출아율을 조사한 결과, 온도가 높을수록 출아 개시가 촉진되고 최대 출아율이 증가하였다. 그러나 특정 조건에서는 출아 지연 현상이 관찰되었다. Gompertz 모델과 유효적산온도를 활용한 비선형 회귀분석 결과, 출아율 50%에 도달하는 데 필요한 누적 유효적산온도는 생장상 조건에서 74℃, 온실 조건에서 160℃로 나타났으며, 환경 조건에 따라 모델의 적합성이 상이하였다. 생장상과 온실에서의 토양 수분 조건(40%, 60%, 80%, 100%)이 출아율에 미치는 영향을 분석한 결과, 토양 수분이 증가할수록 출아율이 상승하는 경향이 확인되었다. 지역별 출아 시기를 예측하기 위해 유효적산온도 데이터를 활용한 분석에서는 기후 변화로 인해 출아 시기가 최대 10~17일 이상 단축될 가능성이 제시되었다. 본 연구는 온도와 토양 수분을 고려한 출아 예측 모델이 잡초 관리 전략에 유용한 도구로 활용될 수 있음을 시사한다. 향후 연구 방향으로는 다양한 환경 요인을 통합적으로 고려한 예측 모델 개발과 현장 적용 가능성을 제고하기 위한 추가적인 연구가 필요하다.







