서 론
재료 및 방법
재배 방법 및 재배지의 기상 조건
품질분석을 위한 고구마 분말의 제조
항산화 성분 및 항산화 활성 분석
통계분석
결과 및 고찰
연차별 기온, 토양 온도, 토양수분장력 변화
삽식 및 수확시기에 따른 지상부 생육 분지 수, 생체중 및 상저수량 평가
지상부 생육 지표와 상저수량 간의 상관분석
삽식 및 수확시기별 당도 및 경도 평가
삽식 및 수확시기에 따른 생 고구마 항산화 성분 및 항산화 활성 평가
적 요
서 론
고구마(Ipomoea batatas (L.) Lam.)는 중앙 또는 남아메리카의 열대 저지대에서 기원한 것으로 추정되며, 1492년 콜럼버스가 카리브 지역에 도착한 이후 전세계의 열대 및 온대 지역으로 널리 퍼져 나갔다(Katayama et al., 2017). 고구마는 현재 전 세계 119개국에서 재배되고 있으며, 2017년 기준 1억 1,283만 5천 톤이 생산되어, 세계 161개 주요 작물 중 생산량 기준으로 15번째로 많은 중요한 식량 작물로 평가받고 있다(Katayama et al., 2017; Tanaka et al., 2017; Yoshimoto et al., 2005). 성분으로는 수분이 70% 수준을 차지하고 있고, 수분을 제외한 건조 고형물은 탄수화물이 75% 이상을 함유하고 있어서 미국 농무부(USDA)에서는 기후와 지형의 조건이 불리한 지역에서 가장 적합한 바이오 에탄올 작물로 선정하기도 하였다(Lee et al., 1999; Kim et al., 2010; Park et al., 2015). 또한, 고구마는 안토시아닌, 베타카로틴, 미네랄, 비타민(B₁, B₂, C, K, E), 식이섬유 등 다양한 영양성분을 풍부하게 함유하고 있다(Katayama et al., 2017; Xiao et al., 2022). 때문에 고구마는 최근 건강 증진 식품으로 인식되어 소비자들의 관심이 증가하고 있다(Villordon et al., 2012).
기후는 작물의 성장에 중요한 요인으로 작물의 생육 단계별로 적절한 조건이 충족되어야 작물이 정상적으로 생장할 수 있으며, 이러한 조건이 충족되지 않으면 생육이 정지되거나 비정상적으로 성장할 수 있기 때문에 기후변화는 작물의 생태 변화에 큰 영향을 미칠 수 있다(Lee et al., 2008). 이러한 기후변화는19세기 이후로 전 세계 평균 기온은 약 0.9°C 상승시켰으며, 2050년까지 추가로 1.5°C 상승할 것으로 예측되고 있고, 이와 함께 가뭄, 홍수 등 극한기상의 현상의 빈도도 증가할 것으로 예상된다(Arora, 2019). 또한1970년대 이후 주요 작물의 생육기 평균 기온은 약 1.2°C 상승하였고, 같은 기간 동안 강수량의 변동성도 증가하여 1974년부터 2008년 사이에 밀, 쌀, 보리 등의 곡물들의 수량이 감소하고 있는 추세이다(Ray et al., 2019). IPCC (intergovernmental panel on climate change) 5차 평가 보고서에 따르면 기후변화의 영향으로 2030년부터 식량생산이 50% 감소하고, 그 이후에는 더 급격하게 줄어드는 반면 식량 수요는 지속적으로 증가할 것으로 전망하였다(IPCC, 2014; Shin et al., 2015). 또한, 지속적인 인구증가로 인해 2050년까지 세계 인구는 약 91억명에 이를 것으로 예상되며, 이로 인해 식량 수요를 충족시키기 위해서는 2005~2007년 평균 대비 식량 생산량을 약 70% 증가시켜야 하는 실정이기 때문에 기후변화 조건에서도 작물 생산성을 향상시킬 수 있는 연구가 시급히 요구되고 있다(Filho et al., 2022).
고구마는 생태적응성이 넓고, 내건성이 강하며, 생육기간이 3~5개월로 짧기 때문에 기후변화 대응 작물로써 그 가치를 인정받고 있다(Kim et al., 2023; Motsa et al., 2015). 또한, 고구마는 다른 주요 식량 작물에 비해 에너지 생산성이 높아 개발도상국에서는 중요한 식량 자원으로 활용되고 있으며, 전분을 함유하는 작물 중에서도 단위면적당 가장 많은 전분을 생산하는 작물로 알려져 있기 때문에 고구마는 가축 사료 및 식량 자원 등 다양한 용도로 이용되고 있다(Honma & Yamakawa, 2019; Ziska et al., 2009). 고구마의 생산성 및 품질은 염류, 저온, 가뭄 등의 여러 환경 스트레스에 의해 제약 받는 것으로 알려져 있다(Sapakhova et al., 2023). 이 중 가뭄 스트레스는 식물의 기공 폐쇄를 유도하고, 내부 CO2의 공급이 줄어들면서 광합성이 감소하며, 광합성의 명반응이 지속되는 동안 해로운 활성산소종(Reactive oxygen species) 축적을 증가시켜 식물의 노화 및 세포사의 원인이 된다(Carvalho & Amâncio, 2002; Keleş & Öncel, 2002; Sairam et al., 1998; Schwanz et al., 1996). 이러한 가뭄 스트레스는 식물에서 엽록소 분해, 단백질 분해, 세포막 투과성 감소, 지질 과산화, 잎 확장 지연, 잎자루 함입 등이 나타나기도 하며 이러한 문제는 식물의 생장 억제, 화아 형성 억제와 같은 문제로도 이어질 수 있다(Gogorcena et al., 1995; Moran et al., 1994; Akhtar & Nazir, 2013; Kapoor et al., 2020). 고구마의 경우 생육후기에는 건조에 강하나 삽식 초기에는 가뭄에 민감하여 연간 약 25%의 수량 손실이 발생하는 것으로 알려져 있다(Motsa et al., 2015; Sapakhova et al., 2023).
고구마는 15-38℃ 범위에서 생육을 하기 때문에 15℃ 미만에서의 저온은 삽식 후 뿌리 발달을 저해하여 생육에 불리하게 작용한다(RDA, 2021). 특히 고구마는 저온에 민감한 작물로 세근, 부정근, 측근 등 다양한 뿌리계 구조를 가지는데, 이 중 세근은 수분과 양분을 흡수하고, 부정근은 저장근으로 분화되며, 측근은 저장근의 비대 발달에 필수적이다(Villordon et al., 2012; Wijewardana et al., 2018). 고구마는 삽식 후 20일 이내가 저장근 분화의 핵심 시기이고(Togari, 1950), 초기 생육기(삽식 후 59일)동안 적정하지 않은 온도에서 저장근 생체중이 약 22% 감소한다고 알려져 있다(Gajanayake, 2014). 또한 저온 스트레스는 뿌리형성 능력을 억제할 뿐만 아니라 고구마의 잎 수와 면적을 감소시켜 지상부와 지하부 전반에 생장 저해 등의 악영향을 끼치는 것으로 보고된다(Park et al., 2024).
그러나 최근 기후변화로 인해 봄철 고온 현상이 나타나고 있어 여러 농가에서 수확시기를 앞당겨 고소득을 창출하기 위해 삽식시기를 앞당기고 있는 실정이다. 이러한 조기 삽식은 봄철 서리 및 건조 등 불리한 환경에 노출될 가능성이 있어 조기 삽식으로 인한 고구마의 수량 감소 및 품질 저하를 초래할 수 있다. 따라서 기후변화에 대응하여 안정적인 재배가 가능한 최적 삽식 및 수확시기에 관한 연구가 필요하지만, 관련 연구는 아직 부족한 실정이다. 본 연구는 고구마의 주요 재배지 중 하나인 충청북도 청주 지역에서 주요 국내 육성 품종을 대상으로 조기 삽식 시 기후변화에 따른 피해를 최소화하고, 안정적인 재배가 가능한 삽식 및 수확시기를 재설정하고자 수행하였다.
재료 및 방법
재배 방법 및 재배지의 기상 조건
본 연구는 2023년부터 2024년까지 2년간 진행되었고, 충북대학교 시험포장(위도 36°37′43″N, 경도 127°27′2″E)에서 수행되었으며, 고구마 품종으로는 국립식량과학원에서 2020년에 육성된 육색이 노란색인 소담미 품종과 2021년에 육성된 육색이 담주황색인 호풍미 품종을 이용하였다.
삽식은 4월 14일(Treatment 1; T1), 4월 19일(Treatment 2; T2), 4월 24일(Treatment 3; T3), 4월 29일(Treatment4; T4), 5월 4일(Treatment 5; T5)으로 총 5개의 처리이며, 분할구 배치법에 따라 각 처리별로 3반복으로 구성하였다. 반복당 시험 면적은 6 m2이며, 110일, 120일에 각 반복에서 3 m2를 수확하였다(Table 1). 시비량은 고구마 표준 시비법에 준하여 퇴비 1,000 kg/10a, N-P2O3-K2O=5.5-6.3-15.6 kg 10a-1를 전량 기비로 시용하였다.
Table 1.
Transplanting and harvest dates (T1-T5: transplanting dates).
|
Transplanting date /Treatment† | Days after transplanting (DAT) | |
| 110 | 120 | |
| Apr. 14. (T1) | Aug. 1. | Aug. 11. |
| Apr. 19. (T2) | Aug. 6. | Aug. 16. |
| Apr. 24. (T3) | Aug. 11. | Aug. 21. |
| Apr. 29. (T4) | Aug. 16. | Aug. 26. |
| May. 4. (T5) | Aug. 21. | Aug. 31. |
토양 분석은 시험구의 토양을 3반복으로 채취한 뒤 한국농업기술진흥원에 의뢰하여 분석하였으며, 그 결과는 Table 2 나타내었다. 기상 조건은 삽식일부터 수확 전날까지 시험구별 기온, 토양온도, 토양수분장력을 대상으로 수행하였으며, 기온 자료는 각 시험구가 위치한 지역의 기상청 자료를 활용하여 분석하였다. 재배지의 지온 및 토양수분장력은 시험구 내 5개 지점에서 설치한 토양 온습도 센서(Wireless Soil Moisture and Temperature Logger, Efento Co., Ltd., Poland)를 통해 3분 간격으로 측정하였다.
Table 2.
Physiochemical properties of the soil in the experimental field of Cheongju.
| Year | pH | T-N1(%) |
Available P2O5 (mg kg-1) |
OM2 (g kg-1) |
EC3 (ds m-1) | EX. Cat. (cmol kg-1) | |||
| K | Na | Ca | Mg | ||||||
| 2023 | 5.80 | 10.90 | 456.10 | 9.37 | 0.26 | 0.45 | 0.05 | 3.44 | 0.65 |
| 2024 | 5.90 | 0.02 | 519.74 | 4.42 | 0.11 | 0.28 | 0.07 | 5.87 | 0.88 |
주성분 분석(Principle component analysis; PCA)분석에 사용된 토양온도와 토양수분장력 자료는 삽식 후 5~7일이 부정근 형성의 주요 시기임을 고려하여, 삽식일 포함 6일간의 토양 센서 측정값 평균을 이용하였다(Belehu et al., 2004). 지상부 생육조사는 삽식 후 수확 시까지 주경의 길이, 주경의 직경, 분지 수, 마디 수를 항목으로 설정하였으며, 각 반복당 10개체를 선정하여 농촌진흥청 연구분석기준(RDA, 2012)에 따라 조사하였다. 지상부 생체중은 각 반복에서 지상부를 모두 수확한 후 무게를 측정하고, 이를 10a당 kg으로 환산하여 산출하였다.
품질분석을 위한 고구마 분말의 제조
항산화 성분과 활성 분석을 위한 고구마 분말은 고구마의 과피를 제거한 후 과육을 잘게 잘라 열풍건조기(YL15-P5, Yuil Co., Ltd., Korea)를 이용하여 36 ℃에서 36시간 동안 열풍 건조하였다. 건조된 시료는 마쇄기를 이용해 마쇄한 후, 60 mesh sieve로 균질화하였으며, -20℃에서 냉동 보관하며 분석 시료로 활용하였다.
찐고구마의 당도는 찜기(MB-1800, Myungboo Industry Co., Korea)를 이용하여 105 ℃에서 50분간 조리한 후, 찐고구마 5 g에 증류수 20 mL를 첨가하여 마쇄한 다음, 굴절당도계(PAL-1, ATAGO Co., Ltd., Japan)를 이용하여 측정하였다. 경도는 생고구마를 가로 1 cm × 세로 1 cm 크기로 절단한 후, 105℃에서 50분간 스팀으로 조리하였으며, 3반복 샘플을 9회 반복하여 측정하였다. 측정은 텍스처 분석기(Texture Analyzer, TA-XT2, Stable Micro System Ltd., UK)를 이용하였고, 직경 20 mm의 원기둥형 프로브(cylindrical plunger probe)를 사용하였다. 분석 2 mm sec-1 pre-test speed, 1 mm sec-1 test speed, 3.5 mm distance, 3.0 g trigger force로 설정하였다.
항산화 성분 및 항산화 활성 분석
항산화 성분 및 항산화 활성 측정을 위해 생고구마로부터 메탄올 추출물을 제조하여 시료로 사용하였다. 생고구마 분말 1 g에 80% 메탄올 10 mL를 첨가한 후, 초음파 장치(WUC-D22H, Daihan Scientific Co., Korea)를 이용하여 실온에서 2시간 동안 초음파 추출을 수행하였다. 추출물은 4,000 rpm에서 10분간 원심분리한 후 상층액을 -20℃에 저장하며 분석 시료로 사용하였다. 총 페놀 화합물 함량은 Folin-Ciocalteu 페놀 시약이 페놀화합물에 의해 인산텅스텐-인산몰리브덴(phosphowolframate-phosphomolybdate) 복합체로 환원되어 푸른색을 나타내는 원리를 기반으로 측정하였다(Dewanto et al., 2002; Woo et al., 2012).
메탄올 추출물 200 µl에 2% Na2CO₃용액 4 mL를 첨가하고 3분간 반응시킨 뒤, 50% Folin-Ciocalteu 시약(Sigma- Aldrich Co., USA) 200 µl를 가하여 30분간 반응시켰다. 이후 UV Spectrometer (UV-1900i, Shimadzu Co., Japan)를 이용해 750 nm에서 흡광도를 측정하였다. 표준물질로는 gallic acid (Sigma-Aldrich Co., USA)를 사용하였으며, 결과는 GAE (Gallic acid equivalent) 100 g-1 sample로 나타냈다.
총 플라보노이드 함량 측정은 알칼리 조건에서 NaNO₂와 반응한 flavonoid가 AlCl₃와 착물을 형성한 후, NaOH 첨가에 따라 붉은색을 띠는 원리를 이용하여 측정하였다(Pękal & Pyrzynska et al., 2014; Ziska et al., 2009). 메탄올 추출물 500 µl에 증류수 2 mL와 5% NaNO₂ 150 µl를 첨가한 후 5분간 반응시켰고, 이어서 10% AlCl₃·6H₂O 300 µl를 가하여 6분간 반응시켰다. 마지막으로 1 M NaOH 1 mL를 첨가하여 11분간 반응시킨 뒤, 510 nm에서 흡광도를 측정하였다. 표준물질로는 catechin (Sigma-Aldrich Co., USA)을 사용하였으며, 결과는 CAE (catechin equivalent) 기준 100 g당 함량으로 표시하였다. 항산화 활성 분석은 Woo et al. (2013)의 방법을 일부 변형하여, DPPH (2,2- diphenyl-1-picrylhydrazyl) 및 ABTS ((2,2'-azino-bis(3- ethylbenzothiazoline-6-sulfonic acid)) 라디컬 소거 활성으로 평가하였다.
DPPH 라디컬 소거능은 0.2 mM DPPH 시약 2,400 µl에 메탄올 추출물 600 µl를 혼합한 후 암실에서 30분간 반응시키고, 520 nm에서 흡광도를 측정하였다. ABTS 라디컬 소거능은 7 mM ABTS와 2.45 mM potassium persulfate를 혼합한 후 24시간 암조건에서 반응시켜 ABTS 양이온 용액을 제조하였고, 이를 희석하여 734 nm에서 흡광도가 1.0~1.4가 되도록 조절하였다. 이후 ABTS 양이온 용액 3,000 µl에 메탄올 추출물 60 µl를 첨가하여 734 nm에서 흡광도를 측정하였다.
두 항산화 활성 모두 표준물질로 L-ascorbic acid (Sigma- Aldrich Co., USA)를 사용하였으며, Ascorbic acid equivalent antioxidant capacity (AEAC)으로 계산하여 결과를 나타냈다.
통계분석
본 연구에서 측정한 지상부, 수량, 품질분석은 모두 3반복하여 측정하였으며, R (version 4.2.3)를 이용하여 던컨의 다중검정분석(Duncan’s multiple rage test)을 이용해 p <0.05 수준에서 유의성을 검정하였다. 상관분석과 주요인 분석은 Analyse-it® for Microsoft® Excel (https://analyseit.com) 통계 프로그램의 scatterplot matrix with density ellipse and histograms와 correlation monoplot of biplot/monoplot 기능을 이용하여 작성하였다.
결과 및 고찰
연차별 기온, 토양 온도, 토양수분장력 변화
고구마가 열대성 작물이므로 삽식 초기단계에 저온에 민감하다고 보고한 바 있다(Fan et al., 2015). 또한 고구마의 생육 온도는 15~38℃의 범위이고, 30~35℃에서 가장 왕성하며 지온의 경우 19~37℃가 정상 발근 범위이고, 15℃이상이 되지 않으면 조기 삽식 효과가 없다(RDA, 2021). 따라서 본 연구에서는 삽식 직후 평균, 최고, 최저 기온, 지온, 토양 수분 장력을 측정하여 이용하여 생육 초기 환경 조건을 파악하였다. 고구마 삽식 후 5~7일이 수염뿌리 형성을 통해 저장뿌리로의 전환이 결정되는 시기로 알려져 있다고 보고하였다(Belehu et al., 2004). 따라서 본 연구에서는 삽식시기의 기준을 5일 간격으로 설정하였다.
23년 실험에서 삽식일자별 평균 온도는 T1 15.2℃, T2 20.3℃, T3 15.5℃, T4 15.1℃, T5 20.4℃로 평균 온도는 모두 고구마 최저 생육 온도인 15℃보다 온도가 높게 나타났다(Fig. 1). 하지만4월 17일과 4월 27일 최저온도가 각각3.0℃와 1.0℃로 낮게 나타났다. 고구마가 10℃에서 생장이 멈추고, 0℃에서 잎이 고사하며, -2℃에서는 싹과 괴근이 손상되고 죽는다고 보고하였다(Mukhopadhyay et al., 2011). 따라서 본 연구에서는 4월 17일과 4월 27일에 저온이 발생하여 4월 27일 이전에 삽식한 T1, T2, T3이 저온으로 인한 피해를 크게 받았을 것으로 판단되었다(Fig. 1A). 각 삽식일자의 토양온도는 T1 20.5℃, T2 19.0℃, T3 17.9℃, T4 17.1℃, T5 20.8℃로 평균 지온은 T1, T2, T5가 정상 발근 범위인 19℃ 이상의 지온을 나타내 양호한 것으로 판단되었고, T3과 T4는 정상 발근 범위보다 다소 낮았지만15℃ 이상이므로 조기 삽식의 효과가 있었다고 판단되었다(Fig. 1B). 토양수분장력은 T1 -14.0 kPa T2 -5.0 kPa T3 -12.0 kPa T4 -16.0 kPa T5 -19.8 kPa로 T2가 가장 습했으며 T5가 건조하였고, 다른 삽식시기는 적정하였다(Fig. 1C).
24년 시험 결과에서 삽식일자별 평균 온도는 T3을 제외한 처리군에서는 고구마의 최저 생육 온도보다 높았다. T3는 14.5℃로 고구마의 최저 생육 온도보다 다소 낮았지만, T3의 토양 온도가 조기 삽식의 효과가 나타나는 온도인 15℃보다 높은 16.8℃로 나타나 고구마의 생육에 크게 악영향을 끼치지는 못했을 것으로 판단되었다. 평균 지온의 경우에도 모든 삽식일자별 평균 지온이 조기 삽식의 효과가 나타나는 온도인 15℃에 충족하였고, 또한 T5는 19℃ 이상으로 정상 발근 범위내에 들어 양호한 것으로 판단되었다.
삽식 및 수확시기에 따른 지상부 생육 분지 수, 생체중 및 상저수량 평가
호풍미, 소담미의 23년, 24년도 삽식 및 수확시기에 따른 지상부 생육은 Table 3과 같다. 호풍미의 경우 23년도 주경의 길이는 120 DAT (Day after transplanting)의 T4가 268.3 cm로 가장 길었고, 120 DAT의 T1이 184.2 cm로 가장 짧았으며 두 처리군간 유의적인 차이를 보였다(p<0.05). 24년도 주경의 길이는 110 DAT의 T5가 246.5 cm로 가장 길었고, 120 DAT의 T5가 186.9 cm로 가장 적게 나타나 두 시기간 유의성을 보였다. 23년도 분지 수는 120 DAT의 T3가 4.5 plant-1로 가장 많았고, 120 DAT의 T1, T2 두 처리군에서 2.5 plant-1로 가장 적어 T3와 T1, T2가 각각 유의적인 차이를 보였다. 24년도 분지 수는 110 DAT의 T5와 120 DAT의 T4가 두 시기 모두 3.7 plant-1로 가장 많았고, 120 DAT의 T5가 2.7 plant-1로 가장 적어 두 처리군간 유의적인 차이를 보였다. 23년도 생체중은 110 DAT의 T5가 5655.6 kg 10a-1로 가장 높게 나타났고, 110 DAT의 T1이 2177.8 kg 10a-1로 가장 낮게 나타나 두 처리군간 유의성이 나타났다. 24년도 생체중은 110 DAT의 T5가 4566.7 kg 10a-1로 가장 높았으며, 120 DAT의 T5가 2044.4 kg 10a-1로 가장 낮아 두 처리군간 유의성을 보였다.
Table 3.
Vine growth, No. of branch, fresh weight, and storage root yields according to transplanting and harvesting dates.
23년도 상저수량은 110 DAT의 경우 T5가 2478.0 kg 10a-1로 가장 높게 나타났고, T1이 592.8 kg 10a-1로 가장 적게 나타나 두 처리군간 유의성을 보였다. 120 DAT의 경우에는 T5가 2560.0 kg 10a-1로 가장 높게 나타났으며, T1이 984.1 kg 10a-1 로 가장 적게 나타나 두 삽식시기간 유의성을 보였다. 24년도 상저수량은 110 DAT의 경우 T2가 1870.0 kg 10a-1로 가장 높게 나타났으며, T4가 1204.7 kg 10a-1로 가장 적어 두 시기간 유의성이 나타났다. 120 DAT의 경우에는 T3가 2422.9 kg 10a-1로 가장 높았으며, T5가 1406.0 kg 10a-1로 가장 적게 나타나 두 처리군간 유의성을 보였다.
소담미는 23년도 주경의 길이는 120 DAT의 T5가 286.0 cm로 가장 길게 나타났고, 110 DAT의 T1이 160.1 cm로 가장 짧게 나타나 두 처리군간 유의적인 차이를 보였다. 24년 주경의 길이는 120 DAT의 T5가 265.2 cm로 가장 길게 나타났으며, 110 DAT의 T1이 159.7 cm로 가장 짧게 나타나 두 시기간 유의성을 보였다. 23년 분지 수는 120 DAT의 T4가 5.3 plant-1로 가장 높게 나타났고, 110 DAT의 T3이 1.9 plant-1로 가장 낮게 나타나 두 시기간 유의적인 차이를 보였다. 24년 분지 수는 120 DAT의 T5가 4.6 plant-1로 가장 높았고, T1이 2.7 plant-1로 가장 낮았으며 두 시기간 차이가 유의하게 나타났다. 23년 생체중은 110 DAT의 T5가 6222.2 kg 10a-1로 가장 높게 나타났고, 120 DAT의 T1이 3100.0 kg 10a-1로 가장 낮게 나타나 두 처리군간 유의성을 보였다. 24년의 생체중은 120 DAT의 T3이 6722.2 kg 10a-1로 가장 높게 나타났으며, 110 DAT의 T5가 3322.2 kg 10a-1로 가장 낮게 나타나 두 처리군간 유의성을 보였다.
23년 상저수량은 110 DAT의 경우 T5가 1122.3 kg 10a-1로 가장 높게 나타났고, T1이 294.2 kg 10a-1로 가장 적게 나타나 두 처리군간 유의성을 보였다. 120 DAT의 경우 T5가 963.1 kg 10a-1로 가장 높게 나타났으며, T1이 254.8 kg 10a-1로 가장 적게 나타나 두 처리군간 유의성을 보였다. 24년 상저수량은 110 DAT의 경우 T5가 1748.9 kg 10a-1로 가장 높게 나타났고, T1이 649.9 kg 10a-1로 가장 낮게 나타났으며 두 처리군간 유의성을 보였다. 120 DAT의 경우 T3이 1819.3 kg 10a-1로 가장 높게 나타났으며, T1이 832.3 kg 10a-1로 가장 적어 두 처리군간 유의성이 나타났다.
110 DAT의 호풍미와 두 재배기간의 소담미의 23년과 24년도의 평균 상저수량이 24년도의 수량이 23년도의 수량보다 더 높은 경향을 나타났다. 저온 조건은 식물의 엽록소 내 효소 활성을 저하시켜 엽록소 생합성에 방해가 되며, 동시에 ROS의 축적을 촉진시켜 엽록소가 감소하여 엽록소 분해를 가속화해 초기 생육을 억제한다고 보고되었다(Lin et al., 2007; Park et al., 2024). 고구마의 경우 저온 조건에 삽식하는 경우 괴근 수의 감소, 괴근의 비대 지연 등으로 수량성이 낮아진다고 보고되었으며, 호풍미와 소담미에서도 저온 조건에서 뿌리 형성이 저해된다고 보고된 바 있다(Nam et al., 2024; Park et al., 2024). 따라서 본 연구에서 23년도가 24년도보다 생육 초기의 저온 스트레스가 더 크게 발생하여 23년도의 상저수량이 24년도 상저수량보다 더 낮게 나타난 것으로 판단되었다(Table 3).
지상부 생육 지표와 상저수량 간의 상관분석
호풍미, 소담미 지상부와 수량과의 23년도 상관관계 분석 결과는 Table 4와 같다. 호풍미의 경우 상저수량은 주경의 길이와 양의 상관관계(0.542**)를 보였고, 생체중과 양의 상관관계(0.497**)를 보였다. 생체중은 주경의 길이와 양의 상관관계를 보였으며(0.570**), 분지 수와 모두 양의 상관관계(0.387*)를 보였다. 소담미의 경우 상저수량은 주경의 길이와 양의 상관관계를 보였고(0.403*), 생체중과 양의 상관관계(0.633**)를 보였으며, 분지 수는 주경의 길이와 양의 상관관계(0.462*)를 보였다.
Table 4.
Correlation between main vine, number of branches, fresh weight, and storage root yields in 2023.
호풍미, 소담미 지상부와 수량과의 24년도 상관관계 분석 결과Table 5와 같다. 호풍미의 경우 생체중은 주경의 길이와 양의 상관관계(0.719***)를 보였으며, 분지 수와 양의 상관관계(0.600**)를 보였다. 주경의 길이는 분지 수와 양의 상관관계(0.494**)를 보였다. 소담미의 경우에는 상저수량은 주경의 길이와 양의 상관관계(0.416*)를 보였으며, 생체중과 주경의 길이가 양의 상관관계(0.490**)를 보였다. Lee et al. (2016)은 고구마의 상저수량은 주경의 길이와 양의 상관관계를 나타낸다고 보고하였으며, 본 연구에서 나온 통계적으로 유의한 결과 중 23년의 호풍미, 소담미와 24년의 소담미에서도 유사한 결과가 나왔다.
Table 5.
Correlation between main vine, number of branches, fresh weight, and storage root yields in 2024.
삽식 및 수확시기별 당도 및 경도 평가
호풍미, 소담미의 23년도, 24년도 삽식 및 수확시기별 찐고구마의 당도 측정 결과는 Fig. 2와 같다. 호풍미의 경우 23년도는 110 DAT의 T2가 29.1 °Brix로 가장 높은 당도를 보였고, 120 DAT의 T1이 15.8 °Brix로 가장 낮은 당도를 보여 유의성이 나타났다(p<0.05). 120 DAT는 15.8-22.5 °Brix로 110 DAT보다 낮은 경향성을 보였다(Fig. 2A). 24년도는 110 DAT의 T2가 26.8 °Brix 로 가장 높은 당도를 보였으며, 120 DAT의 T5가 20.5 °Brix로 가장 낮은 당도를 보여 유의성을 나타냈다(Fig. 2B). 소담미의 경우 23년도는 110 DAT의 T2가 27.6 °Brix으로 가장 높은 당도를 보였으며, 120 DAT의 T5가 16.1 °Brix로 가장 낮은 당도를 보여 유의성을 보였다. 110 DAT에서는 T1과 T2는 높았으나 두 처리군간 유의성이 보이진 않았으며, 두 처리군과 나머지 삽식시기에서는 유의성이 나타났다. 120 DAT는 16.1-17.9 °Brix의 범위를 나타내어 110 DAT에 비해 낮은 경향성을 보였으며 모든 삽식시기에서 유의성이 나타나지 않았다(Fig. 2C). 24년도는 120 DAT의 T1이 27.8 °Brix로 가장 높은 당도를 보였고, 110 DAT의 T3이 22.5 °Brix로 가장 낮은 당도를 보였지만 유의성이 나타나지 않았다(Fig. 2D).

Fig. 2.
2023 Hopungmi (A), Sodammi (B), 2024 Hopungmi (C), Sodammi (D), Soluble solid content by transplanting and harvesting dates in Cheongju. Error bars indicate standard errors of the mean (n = 3). 1Means with the same letter are not significantly different at p < 0.05 by Duncan’s multiple range test.
호풍미, 소담미의 23년도, 24년도 삽식 및 수확시기별 생고구마의 경도 측정 결과는 Fig. 3과 같다. 호풍미의 경우에는 23년도는 두 재배기간의 모든 삽식시기에서 유의성은 나타나지 않았다(Fig. 3A). 24년도는 120 DAT의 T1이 1063.6 g으로 가장 높았고, 120 DAT의 T5는 613.4 g으로 가장 낮아 유의성이 나타났으며, 110 DAT에서는 모든 삽식시기에서 유의성이 보이지 않았고, 120 DAT에서는 T1과 T2, T4, T5와 유의성이 나타났다(Fig. 3B). 소담미의 경우에는 23년도는 110 DAT의 T5가 2087.6 g으로 가장 높았고, 120 DAT의 T1이 608.8 g으로 가장 낮아 유의성이 나타났으며, 110 DAT에서는 T2와 T5가 유의성이 보였고, 120 DAT에서는 모든 삽식시기에서 유의성이 보이지 않았다(Fig. 3C). 24년도는 120 DAT의 T2가 1902.6 g으로 가장 높게 나타났고, 120 DAT의 T1이 1100.8 g으로 가장 낮게 나타나 유의성이 나타났다. 110 DAT에서는 모든 삽식시기에서 유의성이 나타나지 않았으며, 120 DAT에서는 T2와 T1, T3, T4이 유의성이 나타났다(Fig. 3D).
삽식 및 수확시기에 따른 생 고구마 항산화 성분 및 항산화 활성 평가
호풍미의 23년도 삽식 및 수확시기에 따른 생 고구마 페놀 화합물 함량은 120 DAT의 T4가 180.7 mg GAE 100 g-1로 가장 높은 함량을 보였고, 110 DAT의 T4가 79.1 mg GAE 100 g-1로 가장 낮아 두 처리군간 유의미한 차이가 나타났으며(p<0.05), 120 DAT의 T4는 120 DAT의 T1을 제외한 나머지 처리군과 삽식 및 수확시기별 유의미한 차이를 보였다(Fig. 4A). 플라보노이드 함량은 120 DAT의 T4가 103.7 mg CAE 100 g-1로 가장 높은 함량을 보였으며, 110 DAT의 T4가 25.8 mg CAE 100 g-1로 함량이 가장 낮아 두 처리군간 유의미한 차이를 보였고, 110 DAT의 T2도 함량이 낮은 값을 보여 120 DAT의 T4와 유의미한 차이를 보였다(Fig. 4B). 생 고구마 DPPH 라디컬 소거능은 120 DAT의 T4가 150.2 mg AEAC (Ascorbic acid equivalent antioxidant capacity) 100 g-1로 가장 높은 소거활성을 보였으며, 110 DAT의 T4가 29.5 mg AEAC 100 g-1로 가장 낮은 소거활성을 보여 두 처리군간 유의미한 차이를 보였으며, 120 DAT의 T4는 110 DAT의 T2, T4, 120 DAT의 T2, T5와 유의미한 차이를 보였다(Fig. 4C). ABTS라디컬 소거능은 120 DAT의 T4가 121.8 mg AEAC 100 g-1로 가장 높은 소거활성을 보였으며, 110 DAT의 T2가 52.7 mg AEAC 100 g-1로 가장 낮은 소거활성을 보여 두 처리군간 유의미한 차이를 보였고, 110 DAT의 T4도 낮은 소거활성을 보여 120 DAT의 T4와 유의미한 차이를 보였다(Fig. 4D).

Fig. 4.
Total polyphenol (A) and flavonoid (B) contents, 2,2-diphenyl-1-picrylhydrazyl (DPPH) radical scavenging activity (mg Ascorbic acid equivalent antioxidant capacity [AEAC] 100 g-1 sample dw) (C), 2,2-azino-bis-3-ethylbenzothiazoline -6-sulfonic acid (ABTS) radical scavenging activity (mg AEAC 100 g-1 sample dw) (D) of Hopungmi by transplanting and harvesting dates in Cheongju, 2023. Error bars represent standard errors of the mean (n = 3).
1Means with the same letter are not significantly different (p < 0.05) according to Duncan’s multiple range test.
소담미의 23년도 생 고구마 페놀 화합물 함량은 110 DAT의 T4가 145.9 mg GAE 100 g-1로 가장 높은 함량을 보였고, 110 DAT의 T2가 54.7 mg GAE 100 g-1로 가장 낮은 함량을 보여 두 처리군간 유의미한 차이를 보였으며, 110 DAT의 T3, T4, 120 DAT의 T4는 110 DAT의 T2와 유의미한 차이를 보였다(Fig. 5A). 플라보노이드 함량은 120 DAT의 T4가 76.2 mg CAE 100 g-1로 가장 높은 함량을 보였고, 110 DAT의 T2가 23.0 mg CAE 100 g-1로 가장 낮은 함량을 보여 두 처리군간 유의미한 차이를 보였고, 110 DAT의 T3, T4도 110 DAT의 T2와 유의미한 차이 보였다(Fig. 5B). 생 고구마 DPPH 라디컬 소거능은 120 DAT의 T4가 101.6 mg AEAC 100 g-1로 가장 높은 소거활성을 보였고, 110 DAT의 T2는 17.4 mg AEAC 100 g-1로 가장 낮은 소거활성을 보여 두 처리군간 유의미한 차이를 보였으며, 110 DAT의 T3, T4와 110 DAT의 T2도 유의미한 차이를 보였다(Fig. 5C). ABTS 라디컬 소거능은 120 DAT의 T4가 103.7 mg AEAC 100 g-1로 가장 높은 소거활성을 보였으며, 110 DAT의 T2가 34.7 mg AEAC 100 g-1로 가장 낮은 소거활성을 보여 두 처리군간 유의미한 차이를 보였으며, 110 DAT의 T3, T4, 120 DAT의 T4가 함량이 높고, 110 DAT의 T2, 120 DAT의 T4의 함량이 낮아 두 처리군간 서로 유의미한 차이를 보였다(Fig. 5D).

Fig. 5.
Total polyphenol (A) and flavonoid (B) contents, DPPH radical scavenging activity (mg AEAC 100 g-1 sample dw) (C), ABTS radical scavenging activity (mg AEAC 100 g-1 sample dw) (D) of Hopungmi by transplanting and harvesting dates in Cheongju, 2024. Error bars represent standard errors of the mean (n = 3).
1Means with the same letter are not significantly different (p < 0.05) according to Duncan’s multiple range test.
호풍미의 24년도 삽식 및 수확시기에 따른 생 고구마 페놀화합물 함량은 110 DAT의 T5가 145.9 mg GAE 100 g-1로 가장 높은 함량을 보였고, 110 DAT의 T3이 123.8 mg GAE 100 g-1로 가장 낮은 함량을 보여 두 처리군간 유의미한 차이를 보였으며, 나머지 처리군에서는 유의미한 차이를 보이지 않았다(p<0.05) (Fig. 6A). 플라보노이드 함량은 110 DAT의 T5가 68.1 mg CAE 100 g-1로 가장 높은 함량을 보였고, 110 DAT의 T1이 44.2 mg CAE 100 g-1로 가장 낮은 함량을 보여 두 삽식시기간 유의미한 차이를 보였으며, 110 DAT의 T1과 120 DAT의 T3도 유의미한 차이를 보였다(Fig. 6B). 생 고구마 DPPH 라디컬 소거능은 110 DAT의 T5가 78.6 mg AEAC 100 g-1로 가장 높은 소거활성을 보였고, 110 DAT의 T3이 45.2 mg AEAC 100 g-1로 가장 낮은 소거활성을 보여 두 시기간 유의미한 차이를 보였다(Fig. 6C). ABTS 라디컬 소거능은 110 DAT의 T5가 24.6 mg AEAC 100 g-1로 가장 높은 소거활성을 보였고, 110 DAT의 T3이 17.3 mg AEAC 100 g-1로 가장 낮은 소거활성을 보여 두 삽식시기간 유의미한 차이를 보였으며, 110 DAT의 T2, T3는 T5 (110, 120 DAT)와 유의미한 차이를 보였다(Fig. 6D).

Fig. 6.
Total polyphenol (A) and flavonoid (B) contents, DPPH radical scavenging activity (mg AEAC 100 g-1 sample dw) (C), ABTS radical scavenging activity (mg AEAC 100 g-1 sample dw) (D) of Sodammi by transplanting and harvesting dates in Cheongju, 2023. Error bars represent standard errors of the mean (n = 3).
1Means with the same letter are not significantly different (p < 0.05) according to Duncan’s multiple range test.
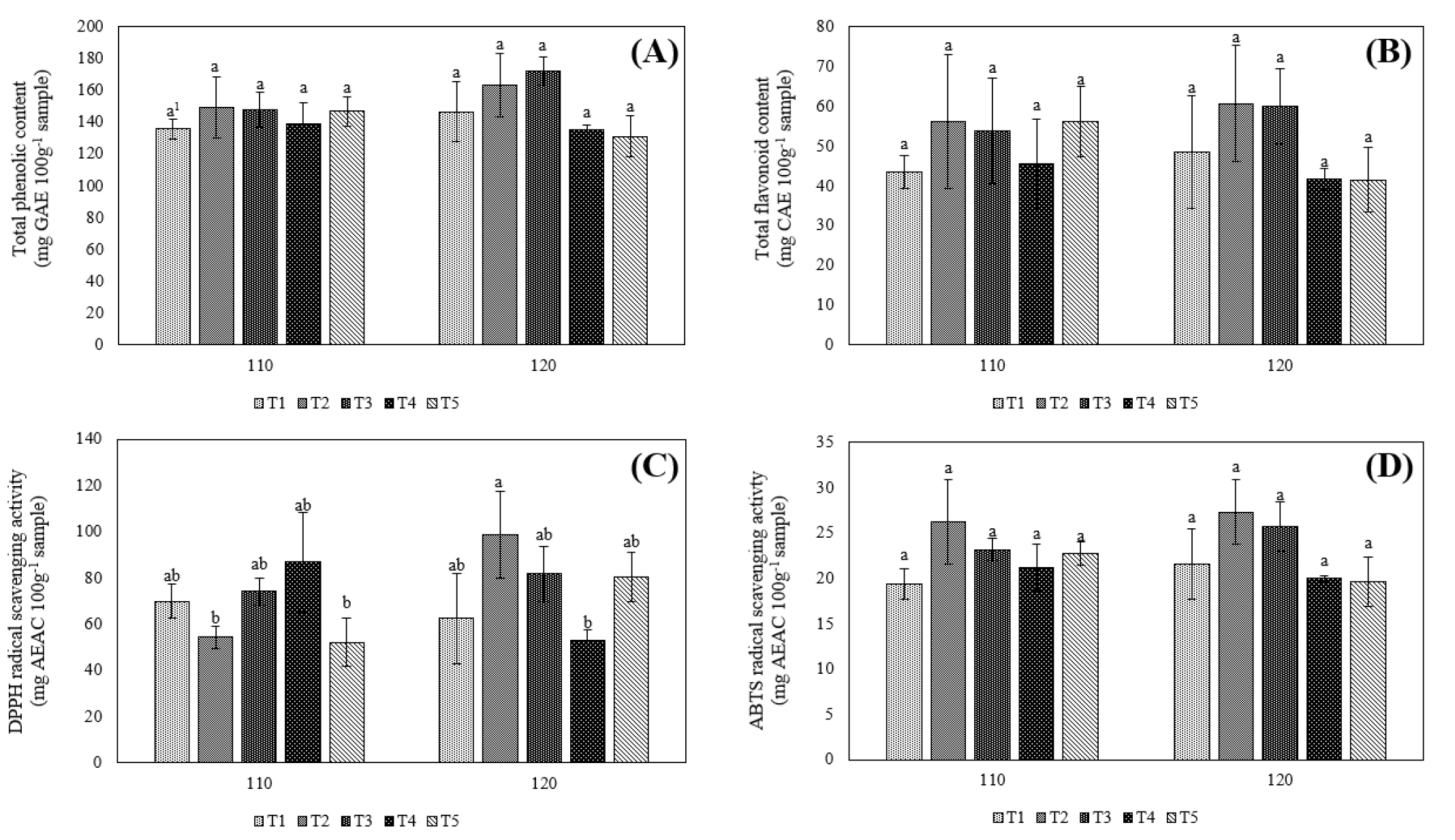
소담미의 24년 페놀 화합물 함량은 전체 삽식 및 수확시기간 유의미한 차이가 나타나지 않았다(Fig. 7A). 플라보노이드도 전체 삽식 및 수확시기간 유의미한 차이가 보이지 않았다(Fig. 7B). 생 고구마 DPPH 라디컬 소거능은 120 DAT의 T2가 98.8 mg AEAC 100 g-1로 가장 높은 소거활성을 보였고, 110 DAT의 T5가 52.1 mg AEAC 100 g-1로 가장 낮은 소거활성을 보여 두 처리군간 유의미한 차이를 보였으며, 110 DAT의 T2, 120 DAT의 T4도 낮은 소거활성을 보여 120 DAT의 T2와 유의미한 차이를 보였다(Fig. 7C). ABTS 라디컬 소거능은 120 DAT의 T2가 27.3 mg AEAC 100 g-1로 가장 높은 소거활성을 보였고, 110 DAT의 T1이 19.4 mg AEAC 100 g-1로 가장 낮은 소거활성을 보였지만 두 처리군간 유의미한 차이를 볼 수 없었다(Fig. 7D).

Fig. 7.
Total polyphenol (A) and flavonoid (B) contents, DPPH radical scavenging activity (mg AEAC 100 g-1 sample dw) (C), ABTS radical scavenging activity (mg AEAC 100 g-1 sample dw) (D) of Sodammi by transplanting and harvesting dates in Cheongju, 2024. Error bars represent standard errors of the mean (n = 3).
1Means with the same letter are not significantly different (p < 0.05) according to Duncan’s multiple range test.
Xu et al. (2023)는 주황색 고구마 8품종의 총 폴리페놀 함량을 1.06~2.43 mg GAE g-1 DW 기준으로 보고하였으며, Nakagawa et al. (2021)은 주황색 고구마 품종의 총 폴리페놀 함량을 32.8~90.0 mg GAE 100 g-1 FW 기준으로 보고한 바 있다. 또 Dincer et al. (2011)은 0.93~1.98 mg GAE g-1 DW 함량을 보고하였으며, 본 연구는 이와 유사한 총 페놀화합물 함량을 나타냈다(Figs. 4A, 5A, 6A, 7A). 폴리페놀은 항산화제로 작용하여 ROS를 제거하고 세포 손상을 방지하는 역할을 하며, 이로 인해 폴리페놀의 함량이 증가하면 저온에 대한 내성이 증가하는 것과 큰 연관이 있다(Lin et al., 2007). 플라보노이드 또한 식물이 저온 조건일 때 방어 메커니즘을 활성화하는 중요한 2차 대사산물이므로, 이는 저온 조건에서도 식물의 생존 및 생장에 긍정적인 영향을 미친다(Ferdinando et al., 2011; Yadav et al., 2010).
Woo et al. (2025)는 호풍미와 소담미는 폴리페놀, 플라보노이드 함량과 생고구마 DPPH 소거능 효과가 삽식시기별로 일정한 경향을 보이지 않고 재배지역의 연도별 기후 조건 차이와 삽식 후 다양한 환경요인에 기인한 것이라고 보고한 바 있다. 또한 Lee et al. (2022)는 총 폴리페놀, 플라보노이드 함량과 ABTS 및 DPPH 소거능 효과는 품종에 따라 유의미한 차이가 나타났다고 보고하였으며, 본 연구에서도 유사한 결과가 나타났다(Figs. 4, 5, 6, 7).
적 요
본 연구는 충청북도 청주 지역에서 국내 육성 품종인 호풍미와 소담미의 안정적인 조기 삽식 및 수확시기를 재설정하고자 수행하였다.
23년의 기온, 토양온도, 토양수분장력을 보면 4월 27일 이전에 삽식한 T1, T2, T3은 저온으로 인한 피해를 크게 받았을 것으로 판단되었고, 평균 지온은 모두 고구마 발근에 필요한 온도인 15℃보다 온도가 높았으며 토양수분장력은 T2가 가장 습했으며 T5가 건조하였고, 다른 삽식시기는 적정하였다. 24년은 기온과 토양온도는 낮지 않아 삽식 초기 냉해가 관찰되지는 않았고 다른 삽식 시기는 적정하였다.
23년도와 24년도에서 110 DAT의 호풍미와 두 재배기간의 소담미의 평균 상저수량은 24년도의 수량이 23년도의 수량보다 높은 경향을 나타냈다. 이는 23년도가 24년도보다 생육 초기의 저온 스트레스가 더 크게 발생한 것이 영향이 있었을 것으로 판단되었다.
23년, 24년 호풍미, 소담미의 지상부 생육과 상저수량간의 상관관계 결과, 23년도는 호풍미의 경우 상저수량은 주경의 길이와 생체중과 양의 상관관계를 보였고. 생체중은 주경의 길이, 분지 수와 모두 양의 상관관계를 보였다. 소담미의 경우 상저수량은 주경의 길이과 생체중 모두 양의 상관관계를 보였으며, 분지 수는 주경의 길이와 양의 상관관계를 보였다. 24년도는 호풍미의 경우 생체중은 주경의 길이, 분지 수와 모두 양의 상관관계를 보였으며, 주경의 길이는 분지 수와 양의 상관관계를 보였다. 소담미의 경우에는 상저수량은 주경의 길이, 생체중과 양의 상관관계를 보였다.
호풍미의 찐고구마 당도는 23년과 24년에서 110 DAT의 T2가 가장 높은 수치를 보였으며, 소담미의 경우 23년도는 110 DAT의 T2, 24년도는 120 DAT의 T1이 가장 높은 수치를 보였다. 생고구마 경도는 호풍미의 경우 23년도는 모든 삽식시기에서 유의한 차이가 보이지 않았고, 24년도는 120 DAT의 T1이 가장 높았다. 소담미의 경우 23년도는 110 DAT의 T5가 가장 높았고, 24년도는 120 DAT의 T2가 가장 높았다.
23년도 생육 초기에 호풍미와 소담미 모두 T1보다 T2가 더 폴리페놀 및 플라보노이드 함량이 감소하였고 이는 저온으로 인한 피해로 판단되었으며, 호풍미와 소담미 모두 폴리페놀, 플라보노이드 함량과 생고구마 DPPH 소거능 효과가 삽식시기별로 일정한 경향을 보이지 않았고, 이는 재배지역의 연도별 기후 조건 차이와 삽식 후 다양한 환경요인에 기인한 것으로 판단되었다. 또한 총 폴리페놀, 플라보노이드 함량과 ABTS 및 DPPH 소거능 효과는 품종에 따라 유의미한 차이가 나타났다.
본 연구는 충청북도 청주 지역의 고구마(호풍미, 소담미)의 삽식 및 수확 시기에 따른 생육, 수량 및 품질의 전반적 경향을 분석하였다. 다만, 단일한 최적 시기를 제시하기에는 실험 조건의 제약이 있어 본 연구에서는 수량과 품질 특성이 모두 양호했던 상대적으로 유리한 조합을 중심으로 논의하였다. 향후 연구를 통해 보다 구체적인 최적 시기 도출이 가능할 것으로 판단된다.




