서 론
재료 및 방법
시험구 및 처리내용
필름특성 조사
토양환경 조사
작물특성조사
통계분석
결과 및 고찰
시기별 필름특성의 변화
시기별 토양환경의 변화
매립(경운) 후 필름 붕괴도
적 요
서 론
석유계플라스틱의 생산 및 소비과정에서는 상당량의 CO2와 메탄가스가 대기중에 배출되고 있으며, 특히 CO2는 온실가스 전체 배출량 중 80%이상을 차지하여 주요 감축 대상으로 지목되고 있다(Stegmann et al., 2022; Yoro & Daramola, 2020). 석유계 원료를 기반으로 제조한 플라스틱인 PE (polyethylene) 및 PVC (polyvinyl chloride) 등은 공업과 농산업 및 생활용품의 광범위한 소재로 활용되고 있다(Fleck-Arnold, 2000; Kasirajan & Ngouajio, 2012; Mansoor et al., 2022). PE필름은 시설재배나 농업용 멀칭 자재로 국내외에 널리 이용되지만, 사용 후 수거 및 폐기 문제와 소각과정에 따른 심각한 환경오염 문제를 발생시키고 있다(Cho & Cho, 2020; Dong et al., 2022; Ju et al., 2021; Kasirajan & Ngouajio, 2012; Mansoor et al., 2022). 2022년에 영농 폐필름이 불법 매립 및 소각되는 양이 약 110,077톤으로 추정되며 상당량이 CO2로 방출되어 지구 온도상승의 원인이 된다(KECO, 2023; Kim, 2024; Lee, 2025). 따라서 지속가능한 농산업과 탄소중립 목표 달성을 위해서는 PE 필름을 대체할 수 있는 친환경 생분해성 고분자 소재개발 및 보급이 요구되고 있다.
생분해성 멀칭필름은 작물재배시 PE필름과 동일한 멀칭의 효과를 나타내어 잡초방제, 토양 온·수분 유지, 토양 및 비료유실 방지 등의 물리적보호, 토양병해충 발생 경감 등을 기대할 수 있다(Kasirajan & Ngouajio, 2012; Mansoor et al., 2022; Menossi et al., 2021; Zhang et al., 2022). 수확 후 경운과 동시에 토양 내로 매립이 되는 생분해성 필름은 최종적으로 CO2로 서서히 분해되면서 식물에 의해 재 흡수되는 탄소의 순환 과정으로 간주되므로 온실가스를 추가로 증가시키지 않는 ‘탄소 중립’ 특성을 가진다(Kasirajan & Ngouajio, 2012; Mansoor et al., 2022; Menossi et al., 2021). 농촌진흥청에 따르면 국내 생분해성 필름 시장은 관행 PE 시장 대비 2023년 기준으로 4~5% 수준으로 미미하지만 최근 3년간 50%이상 상승(약 500톤 생산) 한 것으로 추정하고 있다(Lee, 2025). 하지만 생산량은 일본 보다 1/10 수준이고 중국을 포함한 미국과 유럽은 농업용 생분해 멀칭필름 제품개발 및 생산과 사용을 적극적으로 지원하고 있다(Lee, 2025). 생분해성 멀칭필름은 자연 분해 되는 석유계 합성 플라스틱 물질인 PBAT (poly-butylene adipate terephthalate)를 기반으로 PLA (poly lactic acid)와 PBS (polybutylene succinate) 등을 필요에 따라 천연소재인 TPS (thermoplastic starch)와 리그닌 및 탄산칼슘 등을 적절히 컴파운딩 하여 PE필름과 유사한 인장강도 및 신장력을 나타내는 고분자 필름이다(Kasirajan & Ngouajio, 2012; Lee, 2025; Mansoor et al., 2022). 하지만 생분해성 필름은 블렌딩(혼합) 구성성분 및 가공조건 등에 따라 내구성의 저하로 농경지에 잔량이 그대로 남아있거나 토양 내 미세플라스틱으로 잔존하여 토양생태계 및 수질환경에 부정적인 영향을 끼친 사례가 보고되고 있다(Mansoor et al., 2022; Zhou et al., 2023).
콩(Glycine max (L.) Merr.)은 국내에서 된장과 간장 등의 전통음식 원료로 많이 이용되며 렉틴 단백질 및 이소플라본 계열의 플라보노이드 등의 기능성물질 함량이 풍부하지만, 최근 생산량이 수요량 보다 부족하여 수입의존도가 증가함에 따라 생산성 향상이 요구되고 있다(Lee et al., 2013; Minet al., 2025; RDA, 2021). 콩은 남부지방에서 6월 파종 후 11월에 수확하여 재배기간이 길며 요수량이 비교적 높은 작물이므로 잡초방제 및 토양수분을 유지하기 위한 피복재배가 요구된다(Minet al., 2025; Shin et al., 2012). 특히 PE 필름으로 멀칭 재배 시 지온상승으로 성숙기간이 연장되고 콩알이 비대해 져 수량이 증대된다고 하였다(RDA, 2021; Shin et al., 2012). 생분해성 필름을 콩 및 고추작물 등 하계작물을 대상으로 멀칭하였을 때에도 PE필름 대비 토양환경에 부정적인 영향이 없었고 작물 생장에 미치는 효과도 유사하였다(Kim et al., 2024; Park & Choi, 2025). 하지만 수확 후 토양 내 생분해성 필름의 붕괴도가 낮아서 생분해성 필름의 분해 속도 및 내구성이 작물 재배 주기와 일치하지 않을 경우 2기작 재배에 제한이 생길 수 있으므로, 작물 특성과 재배 환경에 적합한 필름의 물성 평가와 생분해도 분석이 요구된다(Kasirajan & Ngouajio, 2012; Kim et al., 2024; Park & Choi, 2025; Park et al., 2025).
본 연구는 상용 및 신규 생분해성 필름을 콩 재배지에 적용하여 필름의 붕괴도, 토양 환경 변화, 작물 생육에 미치는 영향을 실증적으로 분석하여 생분해성 필름의 보완점 및 개선사항을 제시하고자 수행하였다.
재료 및 방법
시험구 및 처리내용
2024년에 경상북도 구미시에 소재한 농가를 시험 대상지(포장면적 0.1 ha)로 선정하여 콩과 고추대상지에 동일한 멀칭필름을 처리하였고, 본 연구에서는 콩 시험의 수행내용과 결과를 제시하였다. 시험 포장은 평탄지의 사양토로 배수성 및 통기성이 우수하였으며 토양 산도는 중성의 유기물이 풍부한 토양이었다.
4종의 멀칭 필름을 시험 처리로 이용하였고, 시험구 배치는 처리 당 3반복(1반복=1구, 총 12구)으로 난괴법으로 배치하였다. PE필름 멀칭을 관행처리로 하였고, 생분해성 필름인 F (I CO., LTD., Ansan, Korea), R (R Chemical CO., LTD., Hanam, Korea), T필름(I CO., LTD., Ansan, Korea)으로 구성하여 2024년 6월 16일에 시험구 두둑에 각각 멀칭하였다. F필름은 국내에서 많이 이용하는 상용 생분해성 필름으로 레퍼런스(reference)로 두었고, R과 T필름은 각 제조회사에서 개발한 시제품이었다. 필름별 두께는 PE필름은 0.015 mm이었고 R필름은 0.030 mm, F와 T필름은 0.015 mm 이었다. 생분해성 필름은 PBAT를 기반으로, F필름은 PLA와 CaCO3를 함유하였고, T필름은 PLA, CaCO3, TPS를 블렌딩하여 제조하였다. R필름은 삼중(multi-layer)필름으로 외층에는 PBS와 CaCO3를 함유하였고 중층에는 TPS를 첨가한 컴파운딩 제품이었다.
멀칭 처리 전 ‘대두’ 콩 종자를 구입하여 농촌진흥청 표준재배법(RDA, 2000)에 준하여 6월 7일에 파종 및 육묘하여 6월 17일에 본포에 25 cm 간격으로 이식하였다(0 days after transplanting, 0 DAT). 시험구 별 두둑의 가로와 세로폭은 각각 100 cm와 320 cm이었고 고랑폭은 60 cm로 설정하였다. 시험포장에 점적관수는 설치하지 않고 자연 강우에 의존하였고, 건조가 심할 시 간이 호스를 이용하여 충분히 관수하였다.
시험조사는 필름특성, 토양특성, 작물특성을 이식후부터 수확전까지 30일간격으로 총 120일간 각각 조사하였다.
필름특성 조사
멀칭된 필름의 시기별 붕괴도를 조사하기 위하여 시험구당 필름 2점을 각각 21.0 cm × 29.7 cm 크기로 절단 후 분석 샘플로 지정하여 조사기간 동안 동일한 필름 샘플을 반복적으로 측정하여 측정오차를 최소화 하였다. 절단한 샘플은 세척 및 음건 과정을 거친 후 필름 표면의 육안붕괴도와 투광량을 30일 간격으로 각각 조사하였다. 육안붕괴도는 Yin et al.(2019)이 제시한 0~5 단계 기준(0: 손상없음, 1: 약간의 균열, 2: 전체 중 25% 작은 균열, 3: 2.0~2.5 cm길이 균열, 4: 균일한 메쉬(mesh)균열이 있고 큰 손상이 대부분 있음, 5: 4.4 cm2 보다 작은 조각으로 붕괴됨)에 의거하여 분석하였다. 필름의 투광량은 조도계(HIOKI FT3424, HIOKI CO., Ueda, Japan)를 이용하여 오후 12:00~14:00에 시험구 당 3반복(테두리 2곳, 중앙 1곳)으로 하여 필름 내부의 투광량을 측정하였다.
수확 및 경운 후 붕괴도를 조사하기 위하여 표토위에 잔존한 멀칭 필름을 21.0 cm × 29.7 cm 크기로 절단하여 0 cm와 10 cm깊이에 각각 매립하여 시기별로 붕괴도를 관찰하였다. 즉, 수확 당일에 시험구 당 3점의 필름을 채취하여 U자 고정핀으로 고정시킨 후 0일, 30일, 60일 후에 동일한 필름의 생체중을 측정하여 무게변화에 따른 붕괴도(%)를 조사하였다.
토양환경 조사
토양의 온도와 수분함량(수분포텐셜, kPa)을 모니터링하기 위하여 각 처리구에 에펜토 데이터로거(SM, Efento CO., Wroclaw, Poland)를 10 cm 깊이로 매립하여 작물 생육기 동안 일평균 온·수분 데이터를 기록하였다.
토양 pH 및 토양 EC(electrical conductivity)는 간이 pH미터기(HI 99121, Hanna Inc., Seoul, Korea)와 EC미터기(HI 98331, Hanna Inc., Seoul, Korea)를 각각 이용하여 시험구 당 3반복으로 10 cm 깊이에서 측정하였다.
멀칭처리 별 토양화학성을 비교하기 위해서 이식 당일(0 DAT)과 수확 전(120 DAT)에 토양오거를 이용하여 0~20 cm 깊이의 토양을 채취하여 식물 및 토양분석법(RDA, 2000)에 준하여 분석하였다. 토양 유기물 함량은 Tyurin방법, NO3 - 농도는 2.0 M KCl 추출물을 통한 비색법으로 측정하였으며, 유효 P2O5 농도는 몰리브덴 블루법으로 분석하였다. 치환성 K2O, CaO, MgO 농도는 1.0 N 아세트산 암모늄 추출물을 이용한 원자 흡광 분광법을 사용하여 측정하였다.
작물특성조사
시험구 별 3포기를 분석 샘플로 지정하여 조사기간 동안 동일한 샘플을 반복적으로 이용하여 30일간격으로 초장, 분지수, SPAD(엽록소 SPAD-502 Plus meter, Konica Minolta CO., Ltd., Tokyo, Japan), 엽수 등을 각각 조사하였다. 수확기에 수량 구성요소인 주당 협수, 불임율, 100립중, 포기 당 총 종자의 신선중을 측정하였다.
잡초발생을 조사하기 위하여 수확 전 시험구 별 필름유공 부위(콩 이식한 곳), 필름 균열된 곳, 필름을 통과한 곳에서 출현한 잡초 수를 각각 조사하였다.
통계분석
시험에서 도출된 자료를 이용하여 통계분석 프로그램인 SPSS 21 software (SPSS, Inc., Chicago, USA)를 통하여 유의성 유무를 확인하기 위하여 일원분산분석(one-way analysis of variance)으로 분석하였다. 구체적으로 어떠한 처리 간에 차이가 있는지를 통계적으로 알아보기 위하여 Duncan’s Multiple range Test (p = 0.05)로 5% 유의수준에서 결정하였다.
결과 및 고찰
시기별 필름특성의 변화
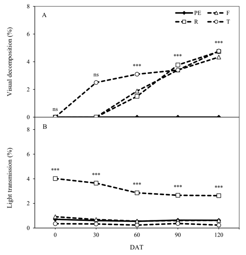
이식 30일 이후부터 신규 생분해성 필름인 T처리구에서 필름 표면의 육안붕괴도가 2.5로 붕괴가 상당히 진행되었고, 기타 멀칭 필름에서는 붕괴가 미미하였다(Fig. 1A). 이식 60일차 부터 모든 생분해성 필름에서 붕괴가 시작되었고 120일차에 대부분 작은 플라스틱 조각이 관찰되었으며, 이는 고추와 콩의 생분해성 필름 선행연구에서도 50~60일차부터 붕괴가 일정부분 진행되었다는 보고와 동일하였다(Kim et al., 2024; Park & Choi, 2025). 신규 T필름은 기존 생분해 필름 원료에 TPS(열가소성 전분) 소재 성분을 블렌딩하여 신장률 등의 물성을 일부 개선하였지만(Lee, 2025), 본 실증시험에서는 기존에 알려진 바와 같이 상용 생분해성 필름 보다 강도가 약하고 내구성이 떨어지는 단점이 관찰되었다. 신규 R필름은 0.03 mm의 두꺼운 3중필름으로 개발되어 투광성이 낮을 것으로 예상하였지만 반대의 결과가 관찰되었다(Fig. 1B). R필름은 단일겹(mono-layer)을 각각 교차하여 삼겹(multi-layer)으로 구성함으로써 투광성 향상에 일부 영향을 끼쳤을 것으로 추정되지만, 해당 메커니즘을 명확히 규명하기 위해서는 향후 실내조건에서의 추가적인 물성 및 광투과성 분석이 필요하다. Fig. 2에서 작물의 수확 전(이식 후 120일)에 모든 생분해성 필름 처리구에서 필름의 붕괴가 상당히 진전되는 양상을 포토 이미지에 제시하였다. 이에 따라 작물의 수확 시점을 고려하여 생분해성 멀칭 필름의 붕괴 정도만 평가하였을 때는 적절한 내구성을 지닌 것으로 사료되었다.

Fig. 1.
Effects of polyethylene (PE) and biodegradable film (F, R, and T) applications on film visual decomposition (panel A) and light transmission (panel B) in a soybean field at every 30 days after transplanting (DAT). Keys: 0, practically intact film; 1, the film begins to crack; 2, 25 % of the film displays tiny cracks; 3, film with 2.0–2.5-cm-long cracks; 4, film with uniform mesh cracks and no large intact areas; 5, the film breaking down into fragments smaller than 4×4 cm2 (Yin et al., 2019). *** indicate significant difference among treatments for 30 days interval, p < 0.001; ns, non-significant.
시기별 토양환경의 변화
생육기 동안 일별 평균 토양 온·수분를 조사한 결과, 장마가 종료된 7월하순부터 8월중순까지 30℃이상의 고온 및 건조가 지속되어 토양 수분포텐셜은 -50 kPa 이하로 감소하였으며, F 및 R 처리구에서는 -200 kPa에 근접하는 값이 나타났다(Fig. 3A and B). 하지만 밭작물인 콩에서는 보통 -1,500 kPa에서 초기위조가 나타나므로 토양건조에 크게 영향을 끼치는 수준은 아니었을 것으로 사료되었다(Kim et al., 2021). T처리구의 필름은 생분해도가 빨라서 증발 등에 의하여 토양 수분함량이 적었을 것으로 예상되었지만 비교적 높은 수준이 관찰되었다. 이는 T필름의 구성성분인 TPS는 전분 가소화 효과로 전분-전분 인력의 작용을 차단하여 친수성을 증가시켜서 필름과 토양 전체에 걸쳐 H2O 확산을 촉진한 결과로 판단되었다(Menossi et al., 2022). 전체적으로 토양온도는 멀칭 처리 간에 차이가 없었지만, 수확 전(10월)의 토양 수분포텐셜은 PE처리구에서 가장 높은 수준을 유지하여서 콩 생장 및 수량 증가에도 일부 영향을 끼쳤을 것으로 사료되었다(Gebre & Earl, 2021).
재배기간 별 토양 pH는 이식 후 60일과 120일차에 T처리구에서 가장 높게 나타났고, PE처리구는 가장 낮았지만 작물 생육에 부정적인 영향을 끼치는 수준은 아니었다(Table 1). 토양 EC는 이식 후 90일과 120일차에 T처리구에서 가장 낮았고 PE처리구에서 높은 경향을 보였는데, Brevik et al. (2006)은 PE멀칭구와 같이 토양수분이 비교적 충분하면 염류의 용해도가 높아져서 EC가 증가한다고 하였다. 하지만 T처리구에 멀칭된 생분해성 필름은 붕괴가 크게 진전되어 토양 염류의 용탈로 EC 감소에 영향을 끼쳤을 것으로 판단되었다. 이에 따라 상대적으로 수소이온의 농도가 증가하여 pH가 낮아졌을 것으로 예상되었는데 반대의 결과가 관찰되었다. 이는 본 시험 포장의 토양 유기물 함량이 풍부하여(처리전 5.61%, Table 2) 염류 농도가 낮더라도 토양의 완충효과로 염기 포화도가 높게 유지된 결과로 사료되었다(Curtin & Trolove, 2013).
수확 전(120 DAT)의 토양 유기물함량은 처리 간에 유의성이 없었고, 4.96~5.15%로 비교적 높은 수준을 보였다(Table 2). 토양 질산태질소와 유효인산은 R과 T처리구에서 낮았는데, 생분해성 필름의 붕괴에 따른 이온의 용탈 및 휘산에 기인한 것으로 판단되었다. 치환성 양이온 농도는 처리 간에 통계적으로 유의성 있는 차이가 없었지만 생분해성 필름 처리구가 PE 처리구 보다 다소 낮은 수준을 보였으며, 생분해성 필름을 콩과 고추의 재배지에 시험한 선행연구에서도 유사한 결과를 보고하였다(Kim et al., 2024; Park & Choi, 2025).
Table 1
Effects of polyethylene (PE) and biodegradable film (F, R, and T) applications on soil pH and electrical conductivity (EC) in a soybean field at every 30 days after transplanting (DAT).
| Treatment | DAT | ||||
| 0 | 30 | 60 | 90 | 120 | |
| Soil pH | |||||
| PE | 6.48 a* | 6.50 a | 6.25 b | 6.38 a | 6.75 b |
| F | 6.51 a | 6.45 a | 6.54 ab | 6.58 a | 7.09ab |
| R | 6.61 a | 6.41 a | 6.36 ab | 6.35 a | 7.06 ab |
| T | 6.52 a | 6.34 a | 6.65 a | 6.52 a | 7.20 a |
| Soil EC | |||||
| PE | 0.15 a | 0.16 a | 0.12 ab | 0.37 a | 0.34 a |
| F | 0.13 a | 0.12 a | 0.11 ab | 0.30 ab | 0.29 ab |
| R | 0.12 a | 0.12 a | 0.08 b | 0.33 ab | 0.31 ab |
| T | 0.21 a | 0.10 a | 0.18 a | 0.25 b | 0.22 b |
Table 2
Effects of polyethylene (PE) and biodegradable film (F, R, and T) applications on soil mineral nutrition in a soybean field at 0 and 120 days after transplanting (DAT).
| Treatment | OM | NO3-N | P2O5 | CaO | K2O | MgO | ||
| (%) | (mg·kg-1) | (cmolc·kg-1) | ||||||
| 0 DAT | ||||||||
| Pre-treatment | 5.61 | 0.01 | 170.6 | 10.5 | 0.36 | 2.24 | ||
| 120 DAT | ||||||||
| PE | 4.85 a* | 0.10 a | 61.1 a | 14.5 a | 0.51 a | 2.92 a | ||
| F | 4.98 a | 0.10 a | 70.3 a | 13.3 a | 0.51 a | 2.61 a | ||
| R | 5.15 a | 0.06 b | 50.9 b | 13.4 a | 0.44 a | 2.81 a | ||
| T | 4.96 a | 0.09 a | 47.7 b | 13.3 a | 0.49 a | 2.56 a | ||
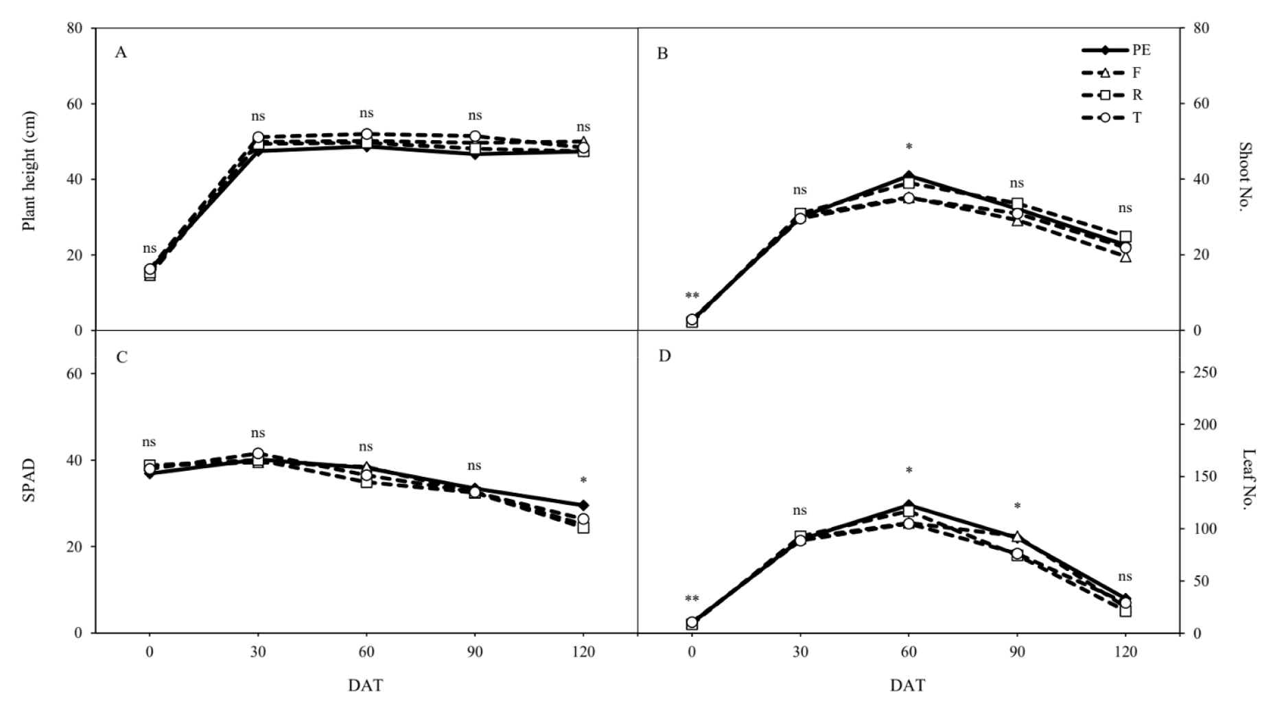
멀칭 처리에 따른 작물의 생장 변화를 조사한 결과, 작물의 초장은 시기에 상관없이 통계적으로 유의성 있는 차이가 없었다(Fig. 4A). 작물의 분지수도 이식 후 60일차에 T필름으로 처리된 작물에서 가장 적은 것을 제외하고 모든 처리에서 비슷하였다(Fig. 4B). 엽의 SPAD와 엽수는 PE로 처리된 작물에서 각각 이식 후 120일차와 60~90일에 가장 증가하였다(Fig. 4C and D). PE 멀칭처리는 생육기 동안 표토의 물리적 보호뿐만 아니라 잡초 방제효과(Table 3) 등 멀칭의 제기능이 유지되어 원활한 양수분의 흡수와 생육촉진에 일부 영향을 끼쳤을 것으로 사료되었다. 본 연구와 유사한 이전 연구에서도 PE 멀칭으로 처리된 콩 작물의 초장이 생분해성 필름 처리 보다 높았다고 하였는데, 2년차에서는 동일한 효과가 관찰되지 않았다(Kim et al., 2024).

Fig. 4.
Effects of polyethylene (PE) and biodegradable film (F, R, and T) applications on plant height (panel A), shoot numbers (panel B), leaf SPAD (panel C), and number of leaves (panel D) in a soybean field at every 30 days after transplanting (DAT). * indicates significantly different values among treatments for a 30-day interval, p < 0.05; ns, non-significant.
Table 3
Effects of polyethylene (PE) and biodegradable film (F, R, and T) applications on weed occurrence in a soybean field.
| Treatment | Perforated part around planted soybean | Treatment plot | Perforated part after biodegradation |
| Number of weeds per plot | |||
| PE | 3.7 a* | 1.3 b | 0.0 a |
| F | 4.7 a | 13.3 ab | 0.0 a |
| R | 5.3 a | 11.3 ab | 0.0 a |
| T | 4.3 a | 29.7 a | 0.0 a |
멀칭 처리에 따른 협수는 처리 간에 통계적으로 유의성 있는 차이가 관찰되지 않았고(Fig. 5A), 불임율은 T와 R처리 작물에서 높게 나타났다(Fig. 5B). 토양 및 대기조건이 건조하면 콩의 화분관 신장이 정지되어 착협이 감소된다고 알려졌는데(Djanaguiraman et al., 2013; Liu et al., 2003), T처리구의 토양 수분함량은 비교적 충분한 수준이었으므로 과도한 건조가 불임율 발생에 직접적인 영향을 끼치지 않았을 것으로 판단되었다. 즉, 앞에서 언급한바와 같이 칼슘 및 붕소 등의 무기성분 흡수율의 감소로 인하여 꽃과 꼬투리 등의 생식기관 내 ABA 호르몬의 스트레스 신호에 따른 불임이 유도되었을 것으로 추정되었다(Djanaguiraman et al., 2013; Galeriani et al., 2022; Gebre & Earl, 2021; Liu et al., 2003). R과 T필름으로 처리된 작물의 높은 불임율은 꼬투리 내 콩알 수와 백립중 감소에는 별다른 영향이 없었다(Fig. 5C). 하지만 종자 신선중은 모든 생분해성 필름 처리구에서 감소하여, 생육 후반기의 생리적 스트레스 및 양분 흡수 제한이 영향을 미친 것으로 사료된다(Fig. 5D; Kim et al., 2024; Park & Choi, 2025). 결과적으로 필름붕괴가 진행된 생분해성 필름 멀칭구에서 수확 전 낮은 수분함량과 무기염 수준, 그리고 잡초발생에 의한 양·수분 경쟁 등으로 콩의 수량 감소에 일부 영향을 주었을 것으로 사료되었다.

Fig. 5.
Effects of polyethylene (PE) and biodegradable film (F, R, and T) applications on the total pod number (panel A), sterility pod (panel B), 100-seed FW (fresh weight, panel C), and total seed FW (panel D) in a soybean field. Different lower-case letters on each data point represent significant differences between the bar graph, as determined by Duncan’s multiple-range test at p < 0.05.
매립(경운) 후 필름 붕괴도
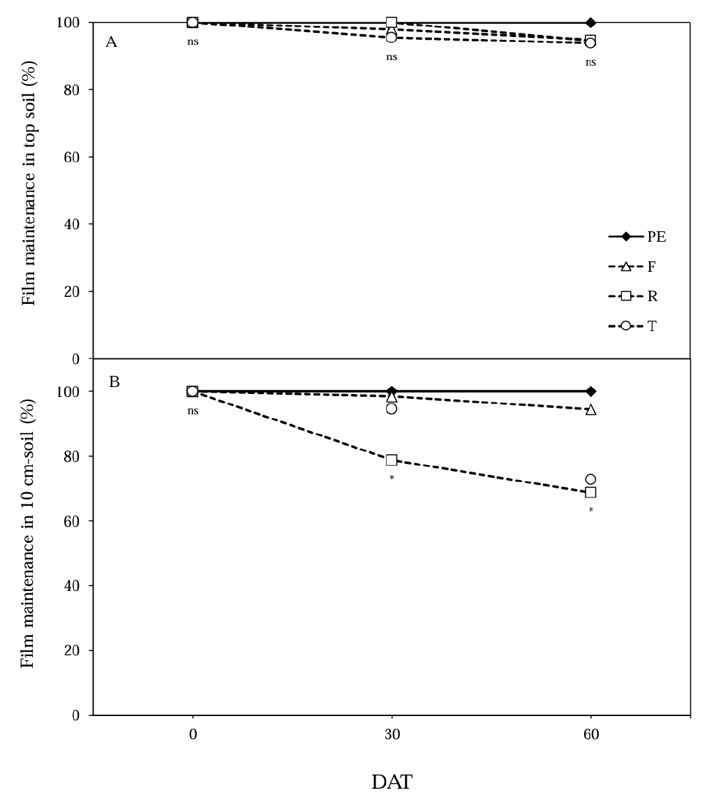
작물 수확 전(위)과 수확 후(아래)의 시험구 전경을 Fig. 6에 제시하였다. 수확 후 생분해성 필름으로 멀칭 된 부분이 많이 훼손되었고, 특히 생육기간 중 붕괴가 상당히 진행된 T필름구에서 멀칭 된 필름이 거의 관찰되지 않았다. 이는 생분해성 필름이 자연 분해된 이유도 있지만 수확 작업중에 약한 물성으로 인하여 필름이 동시에 손상된 결과로 풀이되었다.
작물을 수확 후에 경운처리에 따른 생분해성 필름의 분해시기 및 분해정도를 구명하기 위하여 표토 0 cm와 10 cm 깊이에 각 필름을 매립한 결과, 0 cm에서 60일간 모든 필름의 붕괴가 거의 관찰되지 않았다(Fig. 7A). 토양 10 cm 깊이에서는 30일 후에 T필름에서 약 20% 붕괴로 가장 높은 수준을 보였다(Fig. 7B). 이는 TPS 성분이 함유된 T필름은 뛰어난 H2O 흡습성으로, 미생물의 개체수가 증가하여 필름의 분해를 촉진시킬 수 있는 요인으로 작용한 것으로 사료되었다(Menossi et al., 2022). 토양 10 cm 깊이에서 매립 60일 후에도 앞에서 관찰한 육안붕괴도 처럼 F필름의 붕괴는 미미한 반면에 신규 생분해성 필름인 R과 T의 붕괴도는 약 30%로 빠르게 진행되어, 후작물의 정식시기를 앞당길 수 있을 것으로 판단된다. 하지만 토양 중 미세플라스틱 조각이 완전히 붕괴될 때까지 소요되는 시간과 이에 따른 토양환경과 후작물의 생육에 어떠한 영향을 끼치는지를 구명하는 장기간의 시험이 수행되어야 할 것으로 사료되었다(Mansoor et al., 2022; Zhou et al., 2023).

Fig. 7.
Effects of polyethylene (PE) and biodegradable film (F, R, and T) applications on film maintenance on the soil surface (panel A) and in a 10-cm soil depth (panel B) in a soybean field at 0, 30, and 60 days after tillage (DAT). * indicates a significant difference among the treatments for a 30-day interval, p < 0.05; ns, non-significant.
적 요
본 연구는 2024년, 콩 재배지에 상용 및 신규 생분해성 멀칭필름을 적용하여 토양환경, 작물 생육, 그리고 경운 후 필름의 붕괴도를 평가하고자 수행되었다. 처리는 PE (polyethylene)필름과 상용 생분해성 멀칭 필름인 F(단겹)와 신규 생분해성 필름인 R(삼겹)과 T필름(단겹)을 포함하였다. 이식 30일 후부터 T 필름에서 육안 붕괴도(2.5)가 나타났으며, 이후 60일차부터 F 및 R 필름에서도 분해가 시작되었고, 120일차에는 모든 생분해성 필름이 작은 조각으로 붕괴되었다. 멀칭 된 필름의 투광율은 R필름에서 가장 높게 관찰되었다. 수확 전(10월) PE처리구의 토양 수분포텐셜이 가장 높았고 잡초 발생을 효과적으로 억제하였다. 일부 측정일에 T처리구의 토양 pH는 높았고 EC는 낮은 수준이었고 PE처리구에서는 반대의 경향을 보였다. 토양 질산태질소와 유효인산 함량은 R과 T처리구에서 낮게 관찰되었다. 엽의 SPAD와 엽수는 일부 측정일에 PE처리 작물에서 증가하였다. T와 R처리 작물에서 불임율이 증가하였고 종자 무게는 모든 생분해성 필름처리에서 감소하였다. 토양 10 cm 깊이에서 경운 30일 후에 T필름에서 약 20% 붕괴로 가장 높았고 60일 후에 R과 T필름에서 약 30%의 붕괴가 발생되었다. 전체적으로 생분해성 필름은 콩 생육에 다소 불리한 영향을 주었으나, 빠른 붕괴 특성은 작부체계 유연성 측면에서 장점을 가질 수 있는 것으로 판단된다.





