서론
전국에 등록된 브랜드쌀은 2006년 1,873개를 정점으로 브랜드 통합관리대책에 따라 2010년 기준 약 1,650개로 감소하고 있으나 여전히 많은 쌀 브랜드가 생겨나고 있어 품질차별화가 되지 않고 있다. 쌀 품질은 품종, 기상, 재배방법과 관련된 수확전 단계에서 대부분 결정이 되며 건조, 저장, 도정에 이르는 수확후 관리방법에 의해서도 영향을 받기 때문에(Choi, 2002; Son et al., 2002) 연중 균일한 품질의 쌀을 생산ㆍ유통시키기 위해서는 철저한 재배 및 수확후 관리가 중요하다.
수확후 벼의 품질변화를 최소화하기 위해서는 벼를 수확하고 나서 6시간 이내에 건조과정을 거쳐야 하는데 40℃와 45℃ 온도에서 건조할 때 98%와 93% 이상의 발아율을 유지하는 것으로 보고하고 있다(Lee et al., 1991). 저장단계에서는 호흡 및 효소작용에 의한 화학적 물리적 변화로 식미가 저하되는데, 주로 온도와 수분조건에 의존한다고 하였으며(Zhout et al., 2002) 상온저장시 외기온도의 변화에 따라 벼의 건습이 반복되어 균열이 생기고 도정중에 싸라기 발생을 증가시킨다(Kunze, 2008). 또한 벼의 함수율이 많고 저장온도가 높을수록 호흡율이 높고 식미치가 낮아진다(Choi et al., 2006; Ha et al., 2006). 따라서 저장중 식미저하를 최소화하기 위하여 정조의 수분함량을 13~15% 수준으로 정하고 있고(양곡관리법) 15℃ 이하의 저온에 저장하도록 권장하고 있다(RDA, 2015). 그리고 도정 과정에서의 불균일 도정은 초기함수율의 차이로 저장 유통중 지방산의 변화가 크게 증가한다고 하였다(Kim et al., 2006).
연차간 쌀 품질은 등숙기간의 기상조건에 크게 좌우되며 벼 종실의 발육단계는 출수후 25일경 그 크기가 거의 완성되고 이후 입중의 증가가 계속되어 45일경 완료되는데, 고온 적응성이 낮은 품종이 배측부의 발육 및 전분 충실이 불량하게 되면 배백미가 발생하기 쉽고, 고온으로 인해 등숙후기 전분축적이 어려워져 기백미가 발생되거나 등숙최성기 이삭의 양분흡수 경합으로 유백미가 발생한다(Kazuo et al., 1965). 이와 같이 등숙기 고온일수록 쌀의 전분 축적이 불량해져서 입중이 가벼워지고 불완전립이 많아지며 단백질함량이 높아진다(Hara et al., 1977; Tamaki et al., 1989). 경북 지역에서 2002년부터 3년동안 상미벼, 화영벼, 주남벼 등 3품종을 대상으로 한 연차간 쌀 품질에서 도요윤기치와 아밀로스함량에 비해 단백질함량과 완전미율의 변이가 더 크게 나타났고, 유통 브랜드쌀 26~34종에 대한 연도별 식미치는 완전미율이 높고 단백질함량이 낮은 해에 높은 것으로 보고하였다(Won et al., 2006). 따라서 본 연구는 전남지역에서 유통되는 브랜드쌀의 품질에 미치는 영향을 구명하고자, 연중 및 연차간 품질변이를 분석하여 전남쌀의 품질향상을 위한 기초자료로 활용하고자 수행하였다.
재료 및 방법
조사대상 브랜드쌀
조사대상 브랜드쌀은 2008년부터 2013년도까지 전라남도 농산물유통과에서 농림부‘고품질 브랜드쌀 평가사업’에 출품하기 위해 선정된 “전남 10대 브랜드쌀” 10종과 타도 쌀중 소비자 인지도가 높은 브랜드 및 농림부 고품질 브랜드쌀에 선정된 브랜드 5종으로 하였다. 조사 시기는 매년 2, 4, 6, 8월로 연 4회 시행하였고 시료 수집은 도내 유통매장에서 도정 후 1개월 이내인 시료로 구입하였으며 타도 쌀은 인터넷을 이용하여 구입하였다.
쌀 품질 분석방법
수분 및 단백질함량은 백미 시료를 쌀성분분석기(AN-700, Kett, Japan)용 시료용기에 가득 채워 5회 정도 다짐 후 측정하였고, 쌀품위는 백미를 미립판별기(RN 500, Kett, Japan)를 이용하여 완전미, 분상질립, 쇄립, 동할립의 무게 비율로 측정하였으며, 백도는 백도계(Kett C-300)를 이용하여 측정하였고, 도요윤기치는 백미 33g을 미도메타(MA-90, Toyo, Japan)를 이용하여 80℃의 뜨거운 물에 10분간 취반하고 상온에서 3분간 뜸들인 다음 측정하였다. 식미추정회귀식을 산정하기 위한 통계 분석은 식미와 관련된 품질 특성 변수들을 stepwise 변수선택법을 이용하여 상관계수가 제일 큰 변수 순으로 회귀식을 구한 후, 회귀식의 F 검정에서 유의성을 나타내는 다중회귀방정식 중에서 결정계수가 가장 큰 식으로 결정하였다. 그리고 시료의 품질 특성간 결과에 대한 상관계수(r)를 계산하고 모든 통계분석은 SAS package (Ver. 9.1)를 이용하였다.
결과 및 고찰
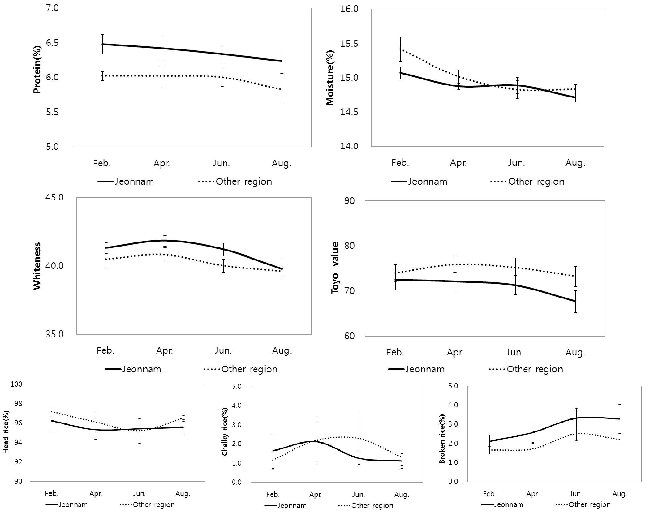
연중 브랜드쌀 품질 변화
유통쌀의 시기별 단백질함량을 조사한 결과, 조사 시기가 경과할수록 다소 낮아지는 경향을 보이고 있는데(Fig. 1) 평균적으로 전남은 6.5에서 6.2%로 타도는 6.0에서 5.8%로 낮아졌고 변이계수(CV)는 1.6% 수준이었다. 이는 쌀 단백질의 경우 저장중 함량 변화는 거의 없었으며 다만 구조적인 변화가 있는 것으로 보고하고(Zhout et al., 2002) 있는 것과는 다소 차이가 있었다. 이는 브랜드쌀의 경우 RPC의 쌀 가공 과정에서 상대적으로 단백질함량이 높은 불완전립의 제거율이 높아짐에 따른 도정수율의 감소가 하나의 원인으로 판단된다. 연중 단백질 함량은 전남쌀이 타도쌀에 비해 0.5% 정도 높은 것으로 조사되었는데 산지에 따라 중북부 지역이 남부 지역에 비해 단백질함량이 낮았다고(Choi et al., 1990) 보고한 것과 연관되었다. 이는 등숙기 온도 및 일조시간과 같은 기후조건과 식미 및 단백질함량간의 높은 상관성을 감안할 때 지리적인 차이에 따른 기후 영향 때문으로 보여진다.
브랜드쌀의 수분함량은 시간이 경과할수록 낮아졌으며 전남은 15.1에서 14.7%로, 타도는 15.4에서 14.8%로 낮아졌고 CV는 1.0~1.8%로 타도에서 다소 높은 수준이었다(Fig. 1). 2월중에는 15% 이상으로 다른 시기에 비해 높았는데 이 시기는 저온기로 수분함량이 품질에 미치는 영향이 그다지 크지 않으나 6월 이후부터는 대기중 상대습도가 높아지는 시기로 유통기간중 쌀의 변질을 최소화하기 위한 수분관리가 중요한 것으로 판단된다. 전남 브랜드쌀의 경우 4월과 6월중에 14.9%를 유지하다가 8월중에 14.7%로 감소하는 경향을 보였으며 타도는 4월중 15.0%였다가 6월과 8월중에 14.8%로 유지되었다(Fig. 1). 이와 같이 6월 이후 하절기 수분편차로 인해 쌀 품질 저하 속도가 증가함으로써 식미 또는 싸라기 발생 등에 영향을 미친 것으로 여겨진다.
전남 브랜드쌀의 연중 평균 백도는 41이고 타도는 40.2였으며 CV는 1.3~2.1% 수준이었다(Fig. 1) 유통 시기별로는 4월중에 가장 높았으며 이후에는 싸라기 등 불완전립이 증가되면서 백도가 감소하였다. 백도는 전남 브랜드쌀이 타도에 비해 약간 높았는데 미강층의 제거 등 도정도에 있어 동일한 조건이라 가정할 경우, 호평, 일미벼 등 전남의 대표 품종 자체가 타도의 추청 품종 등에 비해 수치가 높은 특성을 지닌 것이 주요 원인으로 보여진다. 일반적으로 정미의 현백율은 10분도인 92%를 기준으로 하고 있으나 근래에는 미강층을 보다 완벽하게 제거하기 위하여 11분도에 가까운 91% 정도로 도정하고 있는데 쌀 품종 고유의 백색도 및 미강층의 두께에 따라 다소의 차이가 있다. 또한 백도는 도정이 진행될수록 백도가 높아지는데 Kim et al. (2005)에 의하면 도정 효율성 측면에서 40~41 수준이 적정하다고 제시한 바 있다. 한편 Kasuo (1974)는 미숙립과 같이 전분층이 흰색으로 불투명한 경우 백도치가 다소 높아질수 있어 투명도를 측정하여 비교하는 것이 보다 합리적이라고 보고하고 있다. 그럼에도 불구하고 피해립 등 불완전립이 높을수록 백도가 낮아지기 때문에 Yoon et al. (2007)은 백도가 높을수록 저장중 품질이 우수하다고 하였다.
또한 도요윤기치는 전남이 72.6에서 67.7로, 타도는 74.0에서 73.3으로 점차 감소하였고 CV는 1.6~3.1%로 나타났다(Fig. 1). 이는 저장 중 영양물질 등의 구조적인 변화로 경도가 증가함으로써 취반 중 수분흡수를 어렵게 하여 윤기가 낮아지는 것이 원인으로 생각된다(Kim et al., 1993). 취반미의 윤기를 수치화한 이 값은 기본적으로 품종 특성이 반영되어 차이가 발생하고 도요윤기치가 높을수록 식미가 좋은 것으로 인식하여 한때 벼 품종 육성할때 70 이상을 양식미 선발 기준으로 하였다. 그러나 도요윤기치가 지나치게 높은 경우 오히려 기호성이 떨어지기 때문에 70~75 수준이 적합할 것으로 판단되었다.
완전미율은 95% 전후로 유지되었는데 전남 95.3~96.2%, 타도 95.2~97.2%이고 CV는 0.4~0.9%로 낮은 편이었으며 도정시기가 늦어짐에 따라 쇄립율이 증가하고 분상질립은 감소하였다(Fig. 1). Choi et al. (2008)에 의하면 저장 시 완전미율 감소가 주로 동할립에 기인한다고 보고한 바 있어 이로 인해 도정 시 싸라기 발생이 증가하는 것으로 판단된다. 따라서 연중 균일한 완전미율을 유지하기 위해 시간이 경과할수록 RPC의 도정수율은 낮아질 것으로 예측되었고 RPC별 가공시설 선별능력에 따른 차이가 있는 만큼 분상질립과 쇄립율은 브랜드별로 큰 차이를 보였다. 따라서 연중 균일한 품질의 쌀을 생산하기 위해서는 저장이 진행됨에 따라 불완전립이 증가하여 선별을 보다 강화해야 할 것이며, 이러한 불완전립 발생을 줄이고 수분편차를 줄여 식미를 유지할수 있도록 온습도 관리를 철저히 해야할 것으로 사료되었다.
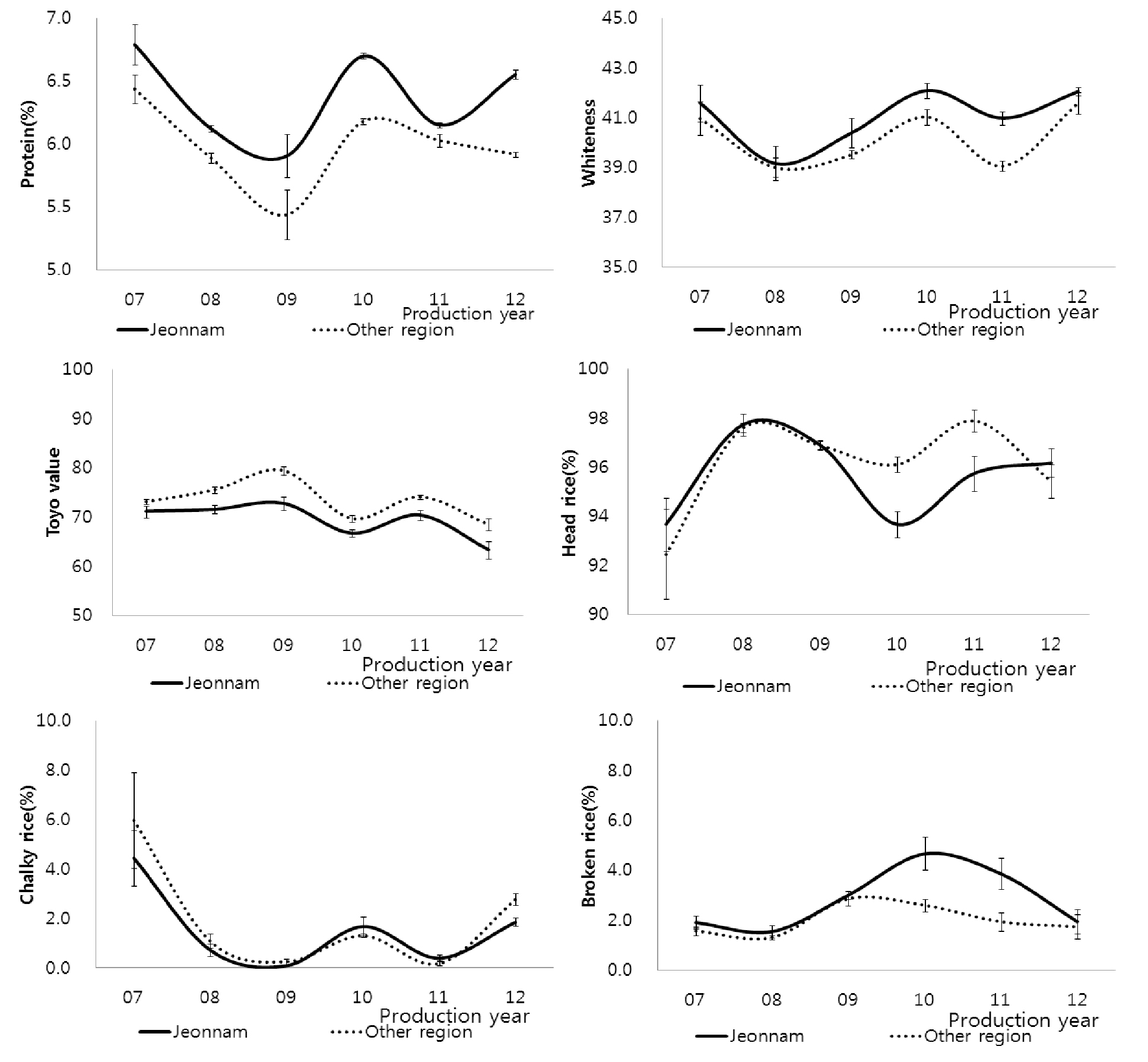
연차별 브랜드쌀 품질 변화
연차별 쌀 품질에서 단백질함량은 전남이 5.9~6.8%, 타도 5.4~6.4%이고 변이계수(CV)는 5.6%, 도요윤기치는 전남 63.3~72.7, 타도 68.5~79.4이고 CV는 5.2~5.4%로 변이가 컸다. 백도는 전남 39.2~41.1, 타도 39.0~41.6이고 CV는 2.7~2.8%였으며 완전미율은 전남 93.7~96.9%, 타도 92.4~ 97.9%이고 CV는 1.8~2.0%로 상대적으로 변이가 적었다(Fig. 2). 이와 같은 결과로부터 2009년 및 2011년산은 출수기 이후 40일간의 평균기온이 상대적으로 낮은 상황이 전개되어 등숙에 유리한 조건으로 다른 해에 비해 단백질함량이 낮았고 도요윤기치가 높았던 반면 2007년, 2010년, 2012년산은 생육후반기 태풍 및 잦은 강수로 인한 일조 부족으로 등숙이 불량하여 단백질함량이 높고 도요윤기치가 낮아지는 등 품질이 저하된 것으로 보인다. 또한 등숙기 차광처리에 의해서도 단백질, 인, 칼륨 함량이 높아진다고 하였는데 등숙기 기상의 차이가 품종간의 차이를 더욱 조장시킨 것으로 보여진다(Seo et al., 1980). 쌀 품위는 2009년 이후부터 브랜드간 편차는 있지만 평균 완전미율이 95% 수준으로 유지되었는데 그만큼 브랜드쌀 생산업체의 가공시설 선별능력도 쌀 품질유지에 기여를 하고 있는 것으로 판단되었다. 또한 2008년부터는 쌀의 단백질 함량을 낮추고 품질을 향상시키기 위해 벼 재배시 질소 표준시비량이 11 kg에서 9 kg 수준으로 낮게 권장됨에 따라 2009년도 이후 쌀 품위가 매우 향상되었다. 그동안의 연구에서도 질소시비량이 증가함에 따라 쌀의 완전미율이 감소하고 단백질함량이 증가한다고 보고하였으며(Kim et al., 2007; Lee et al., 2003) 특히 분상질립이 많을수록 식미가 낮아지는데(Chung et al., 2005; Kwak et al., 2006) 본 연구에서는 등숙기 강수량이 적었던 2008년, 2009년 및 2011년산 쌀에서 단백질함량과 분상질립이 비교적 낮았다.
벼 생육중 기상 상황 및 상관
쌀 품질은 연차별 변이에서와 같이 기상 조건과 매우 밀접하게 관련이 있는데 특히 등숙기의 기온, 일조시간, 적산온도 등이 단백질 함량 및 쌀 품위 등에 영향을 크게 미치고 있다. 2007년 이후 조사대상 브랜드쌀을 생산하는 전남지역 11개 시군의 기상 상황을 보면 출수후 40일 동안 평균기온이 23℃를 상회하였고 최고와 최저기온은 30.0~18.6℃ 정도로 분포하였다(Table 1).
Table 1. The weather conditions during rice ripening period of 40 days after heading in jeonnam province.
T_avg : Average temperature, T_max : Maximum temperature, T_min : Minimum temperature
연도별 기상은 2007년도에 전남의 지역별 기상 요인의 편차가 가장 컸고 9월 중순 등숙기간중 태풍 ‘나리’의 영향으로 생육이 불량하였다. 2008년도는 생육기간중 기온이 높게 유지되었으나 등숙기 일조시간은 평년 수준을 회복하였다. 2009년도는 여름 장마기간 강수량이 1973년 이후 4번째로 많았으나 등숙기에는 일교차가 크고 일조량도 충분하였다. 2010년도에도 출수 전후 고온과 함께 잦은 강수로 생육이 불량하였으나 등숙후반기에 다소 회복되었다. 2011년은 생육전반기에 일조가 부족하여 영양생장이 저조했으나 생육후반기에 점차 안정되었고, 2012년은 남부 지역에 출수기 직후 태풍 ‘볼라벤’ 및 ‘덴빈’ 등에 의해 임실율이 저하되어 쌀수량 감소폭이 컸고 품질도 많이 떨어졌다.
6년간의 기상을 종합하면 2011년이 가장 기상재해가 적었던 해였으며, 전반기보다 후반기 특히 출수후 40일간의 기상이 쌀 품질에 크게 영향을 미치는 것을 고려하면 생육후반기에 기상재해가 많았거나 불리한 여건이었던 2007년, 2010년, 2012년의 쌀 품질이 상대적으로 낮았다.
일반적으로 등숙에 알맞은 기상 조건은 출수후 40일간의 일평균기온이 20~22℃이고 일교차는 8~10℃, 일조시간은 일평균 7시간으로 제시하고 있다(RDA, 2008). 이에 비해 출수기부터 출수후 30일까지 기준하면 평균기온 22.2℃일 때 현미천립중과 식미치가 가장 높다고 하였다(Choi et al., 2011). 전남지역의 경우 등숙기 40일 동안의 평균기온은 적정 수준보다 1~2℃정도 높았고 일조시간도 일평균 7시간으로 할 때 280시간에 미치지 못하므로 전반적으로 등숙에는 다소 불리한 조건이었다. 식미에 대한 기상조건과의 상관 관계는 일조시간이 미치는 영향이 가장 크고 다음으로 일교차, 강수량 순으로 평균기온에 비해 높았다(Table 2). 단백질함량은 식미와 반대의 경향을 보였으며 강수량 및 일조시간과 상관이 매우 높았다. 분상질립은 강수량이 많을수록 많이 발생하였으며 등숙기 차광이 등숙율과 현미천립중을 저하시킨다고 하였던 바(Lee et al., 1984) 강수로 인한 일조부족이 등숙에 영향을 주었을 것으로 사료되었다. 따라서 등숙기 평균기온을 적정수준으로 낮게 하여 품질을 높이기 위해서는 이앙시기를 늦추거나 기존 품종에 비해 출수가 다소 늦은 품종이 전남지역에 적합할 것으로 사료되었다.
Table 2. Correlation between the rice quality and weather factors.
식미 특성과 상관
한편 쌀 품질을 평가하는데 가장 많이 사용하고 있는 방식으로 근적외선을 이용한 단백질 및 아밀로스함량은 그 값이 낮을수록 미반이 단단하고 점성이 저하된다고 하였고 Mg/K 비율이 높을수록 식미가 양호한 것으로 알려져 있다(Choi, 2002). 이를 근거로 Takeo et al. (1985)이 단백질, 요드정색도, 호화특성간 중회귀식을 결정(r=0.843)하였고 Sato et al. (1997)은 Mg/K의 비율과 질소함량을 곱한 값이 식미와 상관이 높다는 것으로부터 호화특성을 포함한 식미회귀식을 산정(R2=0.702)하였다. 그러나 이들 방식은 분석하는데 소요되는 시간이 많이 들기 때문에 보다 손쉽게 활용할 수 있는 평가방식의 도입이 필요하였다.
이를 위해 근적외선분광광도법을 이용하여 식미와 상관이 높은 단백질함량, 수분함량, 백도, 완전미율, 도요윤기치 등을 분석한 후 식미추정회귀식을 산정하였다. 즉, 2008년부터 6년동안 2~3월중에 유통중인 전남 대표 브랜드쌀을 대상으로 한국식품연구원에서 측정한 관능식미값에 대하여 다음과 같은 다중회귀식을 작성함으로써 간편하게 식미를 추정할 수 있도록 하였다. 이때 표준화된 회귀계수의 절대값이 클수록 설명력이 높은 변수로 단백질함량, 수분함량, 백도, 완전미율, 도요윤기치중에서 절대값이 낮은 도요윤기치를 제외한 4개 항목을 사용하여 회귀식을 결정하였다. 여기서 작성된 회귀식의 전체적인 설명력은 51%를 나타내었다(Fig. 3).
또한 식미에 영향을 미치는 특성들의 기여도는 단백질함량이 25.0%로 가장 높았고 다음으로 백도(15.7%), 완전미율(12.3%), 수분함량(10.2%) 순이었다(Fig. 4). 즉 단백질함량은 식미를 예측함에 있어서 가장 중요한 요인으로 판단되고 외관을 나타내고 있는 백도와 완전미율도 식미와 정의 상관을 가지며 식미에 미치는 영향이 높음을 알수 있었다. 쌀의 수분함량 역시 밥맛과 유의적인 관련이 있었는데, 쌀의 물리적 특성이 식미에 미치는 영향에서 수분흡수율이 식미에 대한 기여도가 가장 높은 것으로 보고된 바 있다(Kim et al., 2005). 다만 대상 시료가 2~3월중에 유통중인 쌀로 수확후 동절기만 경과하여 품질 변화가 적은 시기이기 때문에 시간이 경과되어 쌀 품질이 저하됨에 따라 식미에 미치는 영향에 대하여도 검토가 필요할 것으로 사료되었다. 따라서 단백질함량, 백도, 완전미율, 수분함량은 쉽게 분석이 가능하기 때문에 식미를 예측함에 있어 이러한 회귀식을 이용할 경우 현장에서 간편하게 식미 내지는 품질을 예측하는데 도움이 될 것으로 판단된다.
이와 함께 각각의 특성별로 식미추정회귀식을 작성하고 식미가 가장 높을 때의 값을 산정한 결과 단백질함량 5.9%, 수분함량 15.8%, 백도 41.3일 때 식미치가 최대로 나타났다(Table 3). 따라서 미곡처리장의 유통쌀 품질 기준으로 단백질함량은 품질과 식미를 위하여 6% 수준으로 관리가 필요하고 수분함량은 도정수율이 가장 높은 15.8%에서 식미값도 가장 높은 것으로 밝혀졌으나 이는 2-3월 유통쌀을 대상으로 한 것이기 때문에 하절기를 고려하여 수분함량 15% 이내로 관리해야 할 것으로 생각된다. 백도는 품종 고유의 특성을 감안하여 도정 기준인 40 수준을 유지하고 완전미율은 가공과정에서 분상질립 등 불완전립을 최소화하여 ‘완전미’ 표기가 가능한 96% 이상으로 연중 생산하게 되면 고품질쌀 브랜드 이미지 구축에 도움이 될 것으로 판단되었다.
Table 3. Regression equation of each quality characteristic to palatability.
※y = Palatability, x=Protein (%), Whiteness, Head rice (%), Moisture (%)
적요
본 연구는 전남지역 시군에서 생산, 유통되고 있는 브랜드쌀의 품질평가를 실시하여 연차간 변이와 유통쌀의 품질에 미치는 요인을 분석하고자 수행되었으며 그 결과는 다음과 같다.
1. 전남의 연중 브랜드쌀 품질 변이는 도요윤기치 3.1%, 백도 2.1%, 단백질함량 1.6%, 수분함량 1.0%, 완전미율 0.4% 순으로 컸고 4월 이후부터 품질특성이 저하 되었다.
2. 연차별 브랜드쌀 품질 변이는 단백질함량(5.6%), 도요윤기치(5.2%)가 컸고 백도(2.7%), 완전미율(1.8%)은 상대적으로 낮았다.
3. 식미치와 단백질함량은 최저기온, 일조시간, 강수량, 일교차와 높은 상관을 보였고 완전미율은 일교차와 부의 상관을, 분상질립율은 강수량과 높은 정의 상관을 보였다.
4. 단백질함량, 수분함량, 백도, 완전미율 등 밥맛과 상관이 높은 항목을 이용한 식미추정회귀식 산정 결과 y=-6.71a+2.27b+1.29c+0.51d-15.34 (R2=0.51*)이었으며 이 때 y는 관능식미, a는 단백질함량(%), b는 수분함량(%), c는 백도, d는 완전미율(%)이었다.






