서 론
재료 및 방법
식물재료
맥종별 주산지 및 재배지 수집종자의 활력 측정
맥종별 수집종 주산지 및 재배한계지 수집종자의 발아율 및 초기 생장량
맥종별 수집종 주산지 및 재배한계지 수집종자 유묘의 엽록소 및 광합성 함량
맥종별 수집종 주산지 및 재배한계지 종자의 유묘의 이차화합물 함량
통계처리
결과 및 고찰
맥종별 주산지 및 재배한계지 수집종자의 활력 측정
맥종별 수집종 주산지 및 재배한계지 수집종자의 발아율 및 초기 생장량
맥종별 수집종 주산지 및 재배한계지 수집종자 유묘의 엽록소 및 광합성 함량
맥종별 수집종 주산지 및 재배한계지 수집종자 유묘의 이차화합물 함량
적 요
서 론
기후변화(Climate change)는 세계적 또는 지역적 기후의 시간에 따른 변화로서 장기간에 걸친 대기의 평균 상태의 변화를 의미하며, 지난 100년간(1912~2008) 우리나라 6대 도시의 평균기온은 약 1.7°C 정도 상승하여 세계 평균의 2배를 상회하고 있다(Lee & Oh, 2020). 이러한 기후변화는 기후 의존도가 높은 농업에 전반적인 영향을 미쳐, 안정적 농업생산에 위기를 초래하고, 특히 지난 100년 간 여름 지속기간이 13~17일 늘고, 열대야 현상은 4~10일씩 증가하였으며, 겨울철 지속기간은 22~49일이 단축되었다. 또한 기후변화는 토양 유실과 물 부족 등 농업 기반을 약화시키고, 온난화로 인하여 작물재배 적지가 이동하였고, 새로운 병해충이나 잡초가 발생하고 있으며, 농작물 재배 환경의 변화로 수량 및 품질의 저하가 우려된다(An et al., 2017).
종자산업은 씨앗 등 종자를 개발·생산하여 재배 농가에 보급하는 전 과정을 말한다. 종자는 농산물의 생산성과 품질을 결정짓는 중요한 요소로서 생산물의 유통기간 및 가공, 저장에도 영향을 준다. 특히 기후변화에 따른 이상기후 등 작물생산량의 중요성이 커짐에 따라 종자산업의 중요성도 확대되고 있다.
고품질 종자는 높은 작물 입묘율을 확보하는데 필수적인 요인이다. 이들 종자는 빠른 입묘율과 발아율을 위해 종자활력과 생리적 특성을 소유해야 한다. 즉 좋은 종자의 중요한 관점은 다양한 포장조건하에서 종자활력이 강하고 균일한 발아율과 입묘율이 확보되어야 한다(Latifi et al., 2004; Lopez-Castaneda et al., 1996).
발아검사법 이외에 종자의 발아능력을 추정하는 방법에는 생화학적 검사법인 테트라졸룸(tetrazolium, TZ)검사법, 효소활성측정법 등 다양한 방법들이 있으나, 이들 검사법은 복잡하고 작물종에 따라 이용가능성에 차이가 큰 것으로 보고 되었다(Hampton & Tekrony, 1995). 이들 방법보다 간편한 물리적 검사방법으로 전기전도율 검사(conductivity test)가 있고, 이 방법은 종자를 물에 담그면 세포막의 구조가 손상된 종자일 경우, 종자 내의 물질이 밖으로 침출되어 나오는데, 이들이 지니고 있는 전하를 전기전도도계로 측정하는 방법이다(Hall & Wiesner, 1990; Hill et al., 1988; Perry, 1972; Pesis & Timothy, 1983). 전기전도도 증가는 옥수수, 수수, 보리, 밀 등 작물에서 발아율과 종자활력 감소와 상관관계 있음이 보고되었다(Abdul-Baki & Anderson, 1970; Dey & Mukherjee, 1988; Gelmond et al., 1979; Ghosh & Nandi, 1981; Wann, 1986; Waters & Blanchette, 1983). 또한 세포막 피해로부터 발생한 전해질 누출은 종자를 부패하게 하고, 입묘율 확보를 낮게 할 수 있다. 전기전도율 검사는 콩과 종자에 대해서는 국제종자검사협회(International Seed Testing Association; ISTA, 2008)에서 인정한 표준 활력검정법을 콩과종자에 적용하고 있다. 많은 작물에서 포장에서 관찰된 주요한 문제중의 하나는 종자활력, 이상기후 및 포장관리 미흡에 의해 입묘율이 저조한 것이다(Maiti et al., 1989).
따라서 본 연구는 다양한 맥종별(겉보리, 쌀보리, 맥주보리 및 쌀귀리) 주산지 및 재배한계지에서 수집한 종자에 대해 종자활력과 다른 온도조건(25, 13°C)하에서 발아율 및 생장과 저온 조건(13°C)하에서 엽록소 함량, 광합성 효율, 이차화합물(총 페놀, 총 플라보노이드, DPPH 라디컬 소거능력) 차이를 알아보고자 수행하였다.
재료 및 방법
식물재료
쌀보리(품종: 제안찰보리)는 주산지 김제 및 나주와 재배한계지 속초, 영동, 예천에서, 겉보리(품종: 올보리)는 주산지 보은, 충주 및 영덕과 재배한계지 속초 및 춘천에서, 맥주보리(품종: 호품)는 주산지 해남, 강진 및 나주와 재배한계지 창원과 전주에서 그리고 쌀귀리(품종: 조양)는 주산지 강진 및 해남과 재배한계지 정읍과 정읍1에서 수확하였다. 수집 지역의 구체적인 정보는 Table 1과 같다. 수확시기에 의한 차이를 최소화하기 위하여 2020년 6월 10-15일 사이에 수확하였다. 수확한 종자는 건조하여 1개월 후에 시험에 사용하였다.
Table 1.
Information of collected areas, latitude, longitude, and January average minimum temperature.
맥종별 주산지 및 재배지 수집종자의 활력 측정
맥종별 위의 지역에서 수집한 종자 5 g을 30 mL의 증류수에 침지시켜 6시간 후에 측정하였다. 종자에서 침출된 전기전도도는 전기전도계(HORIBA Scientific, LAQUAtwin- EC-22, Japan)을 사용하였다. 측정 전 표준용액으로 전기전도도를 보정하였고 수온이 25°C로 자동 보정하여 계산하였다. 측정시 침출액을 균일하게 혼합하기 위하여 10-15초간 플라스크를 가볍게 흔든 후 전기전도도 전극을 용액에 담가 시료마다 10분 간격으로 3회 이상 측정하여 평균값으로 나타내었다.
맥종별 수집종 주산지 및 재배한계지 수집종자의 발아율 및 초기 생장량
맥종별로 수집한 종자를 petri dish에 여과지(Whatman 2) 2장 깔고 증류수 10 mL를 넣은 후 각 수집종 종자 10개를 파종하였다. 파종 후 petri dish 뚜껑을 3겹으로 실링 데이프로 실링한 후 생장상에 두었다. 실험이 수행된 생장상의 조건은 주야간 온도 25/20±2°C, 상대습도 55% 그리고 주야간 광주기 14/10시간 및 광량(200 µmol m-2s-1)로 하였다. 파종 후 5일(자료 미제시)와 7일째에 발아율을 조사하였고, 7일째에 초장, 근장 및 지상부 생체중을 조사하였다.
또한, 맥종별 수집한 종자를 수도용상토(성화㈜)로 충진한 컵(200 mL)에 10개씩 파종하였다. 파종 후 생장상조건은 온도 13±2°C, 상대습도 55% 그리고 주야간 광주기 14/10시간 및 광량(100 µmol m-2s-1)로 하였다. 파종 후 3, 5, 7, 9 및 11일에 발아율을 조사하였고, 초장은 5, 7, 9, 11, 13 및 15일째 그리고 지상부 생체중은 파종 후 15일째에 조사하였다.
맥종별 수집종 주산지 및 재배한계지 수집종자 유묘의 엽록소 및 광합성 함량
위의 “맥종별 주산지 및 재배한계지 수집종자의 발아 및 초기 생장량” 실험의 저온 생장상 조건(13±2°C)에서 파종 후 15일째에 엽록소와 광합성 함량을 조사하였다. 상대적인 엽록소 함량은 비파괴적 방법으로 측정하였고, 잎에 SPAD 값은 엽록소 측정기(SPAD-502, Monolta Camera Co., Osaka, Japan)로 측정하였다. 엽록소 함량 측정은 각 식물체 두번째 잎에 두 다른 부위를 측정하였다.
엽록소 측정과 동일한 식물체에 광합성 효율은 휴대용 형광 측정기(FluorPen FP100, Photon Systems Instruments, Brno, Czech Republic)로 측정하였다. Fv/Fm을 측정하기 전에 잎을 15분간에 암적응하였다. 엽록소 형광 측정은 SPAD값 측정과 동일하게 각 식물체 두번째 잎에 두 다른 부위를 측정하였다.
맥종별 수집종 주산지 및 재배한계지 종자의 유묘의 이차화합물 함량
총 페놀과 플라보노이드 함량과 DPPH 라디컬 소거 활성은 위의 “맥종별 수집종 주산지 및 재배한계지 종자 발아 및 초기 생장량” 실험의 저온 생장상 조건(13±2°C)에서 파종 후 15일째에 측정하였다. 맥종별 각 식물체 0.2 g을 수확하여 5 mL 100% 메탄올로 마쇄하여 총 페놀과 플라보노이드 함량과 DPPH 라디컬 소거 활성을 측정하였다. 페놀 측정시 상등액 1 mL을 증류수 3 mL와 1 mL Folin- Dennis 시약을 넣고 5분간 교반하였다. 그런 후 1시간 동안 상온에 둔 후 640 nm의 UV 스펙트로포토미터(UV1601; Shimadzu Co., Kyoto, Japan)로 흡광도를 측정하였다(Jang et al., 2020, 2021).
총 플라보노이드 함량은 상등액 0.5 mL을 95% ethanol, 10% AlCl3, 1 M potassium acetate 1.5 mL와 2.8 mL 증류수에 혼합하였다. 혼합한 용액은 상온에 40분간 둔 후 415 nm의 UV 스펙트로포토미터(UV1601; Shimadzu Co., Kyoto, Japan)로 흡광도를 측정하였다(Jang et al., 2020, 2021).
DPPH 라디컬 활성은 상등액 0.1 mL, 0.1 M acetate buffer 0.5 mL, 0.5 mM DPPH (2,2-diphenyl-1-picrylhydarzyl) 0.25 mL, 에탄올 0.4 mL을 혼합하여 30분간 상온에 두었다. 그런 후 DPPH 라디컬 활성은 517 nm의 UV 스펙트로포토미터(UV1601; Shimadzu Co., Kyoto, Japan)로 흡광도를 측정하였다(Jang et al., 2020, 2021).
통계처리
본 실험은 완전임의배치 3반복으로 하였으며, 실험결과는 통계분석 Duncan’s Multiple Range Test (P = 0.05)을 실시하여 유의성 유무를 확인하였다(SAS, 2000).
결과 및 고찰
맥종별 주산지 및 재배한계지 수집종자의 활력 측정
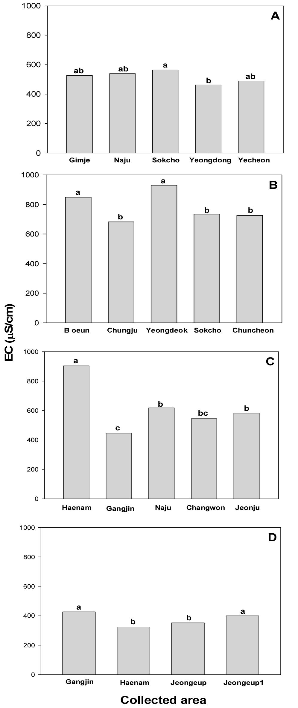
쌀보리, 겉보리, 맥주보리 및 쌀귀리 주산지와 재배한계지로부터 수집한 종자에 대한 활력을 측정하였다(Fig. 1). 종자활력을 측정하는데 다양한 방법이 있으나 이중 검사법이 간편하게 측정할 수 있는 방법이 전기전도도계로 측정하는 방법으로 본 연구에 사용하였다(Hall & Wiesner, 1990; Hill et al., 1988; Perry, 1972; Pesis & Timothy, 1983). 쌀보리 주산지 김제, 나주와 재배한계지 속초, 영동 및 예천에서 수집한 종자의 전기전도도 값은 유의적인 차이가 없었다. 그러나 쌀보리 재배한계지 영동은 속초보다 전기전도 값이 유의적으로 낮았다. 겉보리 경우 재배한계지에서 수집한 속초와 춘천 종자는 주산지에서 수집한 충주를 제외한 보은과 영덕 종자에 비해 전기전도도 값이 낮았다. 맥주보리는 주산지 해남, 강진 및 나주와 재배한계지 창원과 전주의 전기전도도 값에 유의적인 차이가 없었다. 그러나 맥주보리 주산지 해남, 강진 및 나주 종자간에 유의적인 차이가 있었고 그 전기전도도 값은 강진>나주>해남 순으로 유의적으로 낮았다. 쌀귀리 경우는 주산지 강진과 해남과 재배한계지 정읍과 정읍1 종자간에 전기전도도 값은 일정한 경향은 없었으나, 해남과 정읍은 강진과 정읍1에 비해 전기전도도 값이 유의적으로 낮았다. 종합적으로 볼 때 맥종별 주산지와 재배한계지간에 전기전도도 값에는 유의적인 차이가 없었으나 맥종별 일부 수집지역 종자간에는 전기전도도 값에 차이를 보여 종자활력에 차이가 있음을 알 수 있었다.
맥종별 수집종 주산지 및 재배한계지 수집종자의 발아율 및 초기 생장량
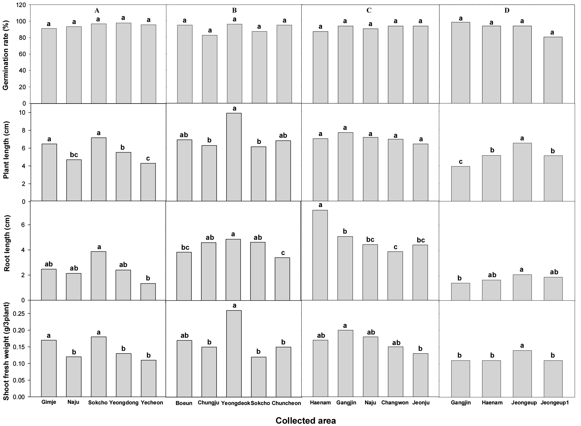
위의 종자활력 시험에서 맥종별 수집한 종자의 활력 차이를 보여 발아율 및 초기 생장량 차이와 관련성을 있는지 조사하였다(Fig. 2). 25°C 생장상에서 발아율은 맥종별과 주산지와 재배한계지와 상관없이 유의적인 차이를 보이지 않았다. 또한 초장은 쌀보리 주산지와 재배한계지와는 유의적인 차이가 없었다. 그러나 쌀보리 주산지 김제 초장은 나주에 비해 유의적으로 컸다. 겉보리 경우도 주산지와 재배한계지의 초장은 유의적인 차이가 없었고, 주산지에서 영덕 초장이 충주에 비해 컸다. 그러나 재배한계지 초장은 속초와 춘천 간에 유의적인 차이가 없었다. 맥주보리 초장은 주산지와 재배한계지와 상관없이 유의적인 차이를 보이지 않았다. 쌀귀리 초장도 주산지와 재배한계지간에 유의적인 차이가 없었으나 주산지 해남은 강진에 비해 유의적으로 컸고, 재배한계지 정읍은 정읍1에 비해 유의적으로 컸다. 근장은 쌀보리 주산지와 재배한계지간에 유의적인 차이가 없었다. 겉보리 경우도 근장은 주산지와 재배한계지간에 유의적인 차이가 없었으나 재배한계지 속초 근장에 비해 춘천 수집종에서 유의적으로 적었다. 맥주보리 근장도 주산지와 재배한계지간에 유의적인 차이가 없었고, 단지 주산지 해남 근장의 경우 강진 및 나주보다 유의적으로 컸다. 그러나 쌀귀리 경우의 근장은 주산지와 재배한계지간에 유의적인 차이가 없었다. 지상부 생체중의 경우, 쌀보리 주산지와 재배한계지 수집종간에는 유의적인 차이가 없었으나, 주산지 김제는 나주에 비해, 재배한계지 속초는 영동과 예천에 비해 유의적으로 높았다. 겉보리 지상부 생체중도 주산지와 재배한계지 수집종간에 유의적인 차이가 없었고 주산지 영덕과 재배한계지 속초와 춘천에 비해 유의적으로 높았다. 맥주보리 지상부 생체중도 주산지와 재배한계지 수집종간에 유의적인 차이가 없었고 강진의 경우가 전주1에서보다 유의적으로 높았다. 쌀귀리 경우는 정읍1의 지상부 생체중이 강진, 해남과 정읍1에 비해 높았다. 전체적으로 볼 때 맥종별로 주산지와 재배지 수집종 종자간에 발아율, 초장, 근장 및 지상부 생체중은 유의적인 차이가 없었으나 수집종 종자간에 차이를 보여 종자활력뿐만 아니라 생장의 차이를 보인 것으로 사료된다. TeKrony & Egli (1991) 연구에서 종자활력은 영양생장에 영향을 주고 영양생장과 초기 생식생장기에 수확한 작물 수량과 관련성이 있지만 완전한 생식생장기에 수확한 작물에 수량과는 관련성이 적은 것으로 보고 하였다.

Fig. 2
Differences in germination rate, plant height, root length, and shoot fresh weight in dehulled barley (A), hulled barley (B), malting barley (C), and naked oat (D) seeds collected from various areas in the seed bioassay test performed at 25°C. Means within bars followed by the same letters are not significantly different at the 5% level according to Duncan’s Multiple Range Test.
상대적으로 저온조건(13°C)하에서 맥종별 주산지 및 재배한계지 수집종 종자의 출현율을 조사하였다(Fig. 3). 쌀보리 파종 후 3, 5, 7, 9, 11일 후 출현율은 주산지와 재배한계지간에 유의적인 차이가 없었다. 그러나 수집종 종자간에는 차이를 보였다. 즉 파종 후 3일째 나주와 예천 수집종이 김제 수집종에 비해 출현율이 높았고 파종 후 5일째에도 나주와 예천 수집종이 김제와 속초 수집종에 비해 출현율이 높았다. 파종 후 7일째 출현율은 나주, 속초, 영동 및 예천이 김제에 비해 높았고, 파종 후 9일과 11일은 나주와 예천 수집종이 김제에 비해 높았다. 전반적으로 볼 때 쌀보리의 출현율은 김제의 경우에서만 유의적으로 낮았다. 겉보리 경우 모든 수집종에서 파종 후 3일에는 출현하지 않았고, 파종 5, 7, 9, 11일 후 출현율은 주산지와 재배한계지간에 유의적인 차이가 없었다. 그러나 파종 후 5일에는 보은, 속초 및 춘천 수집종이 충주와 영덕 수집종에 비해 출현율이 유의적으로 높았고, 파종 후 7일째에 보은과 속초 수집종의 출현율은 충주와 영덕에 비해 유의적으로 높았다. 파종 후 9일과 11일째는 영덕 수집종에서만 출현율이 낮았을 뿐 그 밖의 수집종간에는 차이가 없었다. 맥주보리 경우 파종 후 7일과 9일에 재배한계지 창원과 전주 수집종이 주산지 해남, 강진 및 나주에 비해 출현율이 유의적으로 높았다. 그러나 파종 후 11일째에는 재배한계지 창원과 전주가 주산지 강진에 비해 출현율이 높았다. 쌀귀리 경우 출현율은 주산지와 재배한계지간 수집종간에 일정한 경향은 없었다. 그러나 파종 후 7일째 출현율은 강진>정읍>해남>정읍 순으로 유의적으로 높았고, 파종 후 11일째에는 해남>강진=정읍>정읍1 순으로 유의적 높았다.

Fig. 3
Differences in germination rate in dehulled barley (A), hulled barley (B), malting barley (C), and naked oat (D) seeds collected from various areas under growth chamber at 13°C. Means within bars followed by the same letters are not significantly different at the 5% level according to Duncan’s Multiple Range Test.
일반적으로 저온조건하에서도 맥종에 상관없이 주산지와 재배한계지간에 출현율에는 차이가 없었고 일부 수집종간에 차이를 보였다. 그러나 겉보리 수집종은 파종 후 3일째에 출현하지 않았고, 맥주보리와 쌀귀리는 파종 후 5일에도 출현하지 않아 맥종별 차이를 보였다. 본 연구로 볼 때 맥주보리와 쌀귀리 경우는 쌀보리와 겉보리와 종자 활력에서 유사한 경향을 보여 출현율 차이는 종자활력 차이보다는 일반적으로 맥주보리와 쌀귀리의 종자특성으로 생각된다. 즉 주로 맥주보리와 쌀귀리 재배한계선은 쌀보리와 겉보리보다 높고 저온에 대한 민감도도 상대적으로 높기 때문으로 판단된다(Shim et al., 2004).
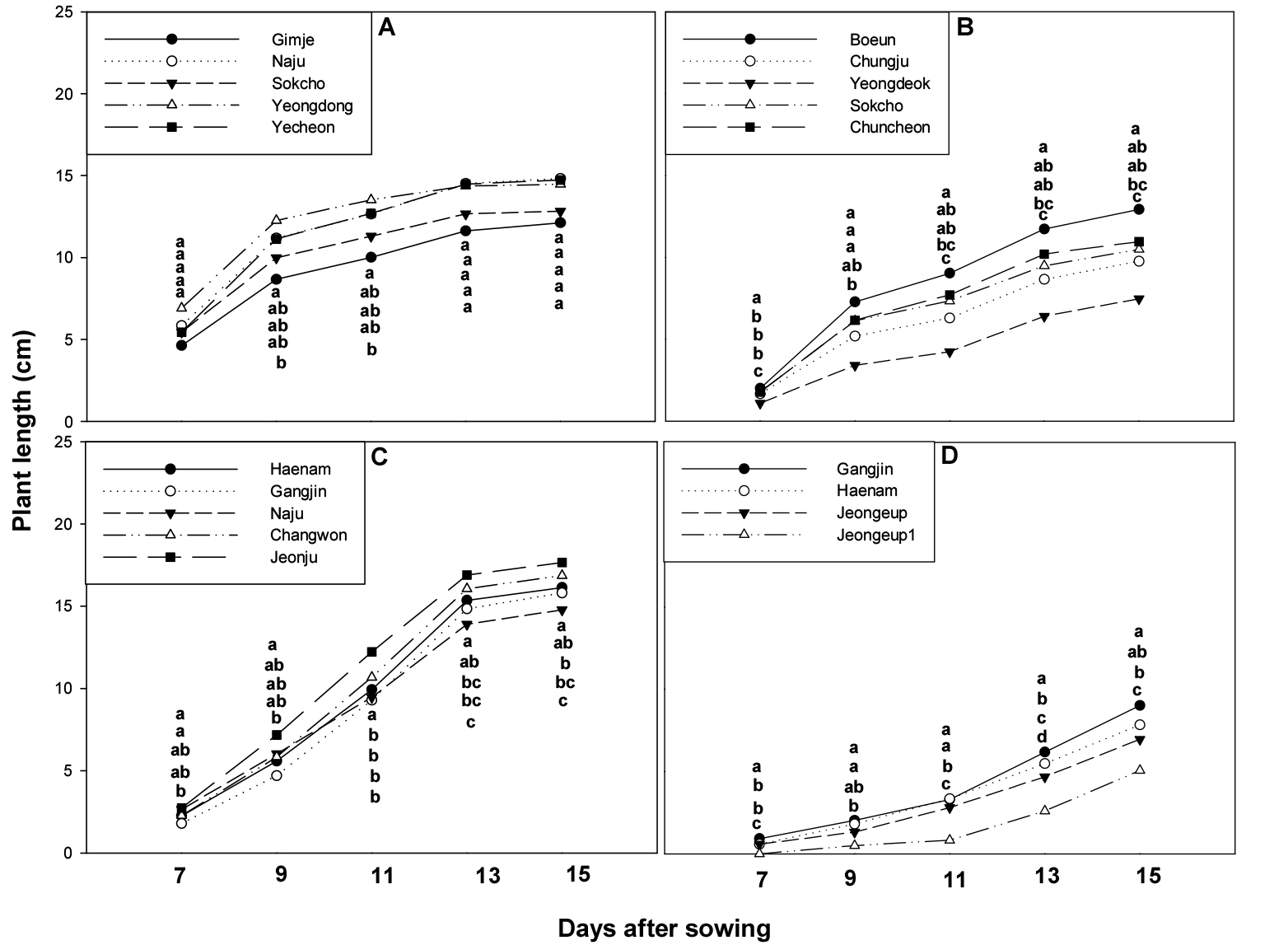
저온조건하에서 생장한 맥종별 주산지와 재배한계지에서 수집한 종자를 파종 후 7, 9, 11, 13, 15일에 초장을 조사하였다(Fig. 4). 쌀보리 경우 주산지와 재배한계지 수집종간에 초장은 유의적인 차이가 없을 뿐만 아니라 수집종간에도 차이가 없었다. 겉보리 경우도 주산지와 재배한계지 수집종간에 초장은 유의적인 차이가 없었고, 단지 영덕의 수집종이 다른 수집종에 비해 초장이 적었다. 맥주보리도 주산지와 재배한계지 수집종간에 초장은 유의적인 차이가 없었고, 파종 후 11, 13, 15일에 전주 수집종의 초장은 해남, 강진 및 나주에 비해 유의적으로 높았다. 쌀귀리 경우 재배한계지 정읍과 정읍1 수집종의 초장은 일반적으로 주산지인 강진과 해남에 비해 유의적으로 컸다.

Fig. 4
Differences in plant height in dehulled barley (A), hulled barley (B), malting barley (C), and naked oat (D) seeds collected from various areas under growth chamber at 13°C. Means within bars followed by the same letters are not significantly different at the 5% level according to Duncan’s Multiple Range Test.
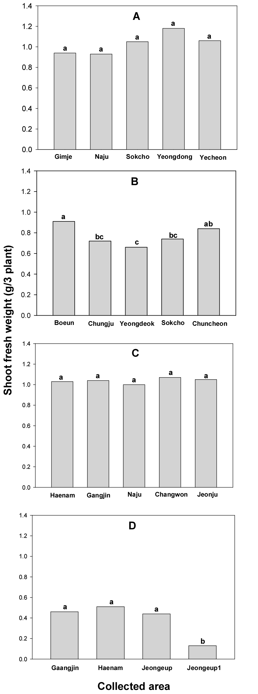
저온조건하에서 생장한 맥종별 주산지와 재배한계지에서 수집한 종자를 파종 후 15일에 지상부생체중을 조사하였다(Fig. 5). 쌀보리 지상부 생체중은 초장과 유사하게 주산지와 재배한계지 수집종간에 유의적인 차이가 없었다. 겉보리 경우의 지상부 생체중도 주산지와 재배한계지 수집종간에 유의적인 차이가 없었으나 주산지 보은의 지상부 생체중은 충주와 영덕에 비해 유의적으로 높았다. 맥주보리도 겉보리처럼 주산지와 재배한계지간에 지상부 생체중에서 유의적인 차이는 없었다. 쌀귀리 경우 주산지 강진과 해남, 재배한계지 정읍의 지상부 생체중이 정읍1에 비해 유의적으로 높았다. 전체적으로 볼 때 출현한 각 개체의 수집종간에 초장과 지상부 생체중을 비교했을 때는 큰 차이가 없었으나 일부 수집종간에 출현율(발아율)에 차이를 보였다. 즉 일정한 면적에 출연율(입모율)을 기초하여 생체중을 고려한다면 수집종간에 차이를 보일 것으로 해석된다. Chloupek et al. (2008) 연구에서 보리 종자활력이 낮은 경우 포장에서 출현율이 낮고 병 발생이 높아진다고 보고 하였다. 또한 종자활력이 낮은 경우에는 저온과 한발스트레스에 내성도 감소하는 경향을 보였다.

Fig. 5
Differences in shoot fresh weight in dehulled barley (A), hulled barley (B), malting barley (C), and naked oat (D) seeds collected from various areas under growth chamber at 13°C. Means within bars followed by the same letters are not significantly different at the 5% level according to Duncan’s Multiple Range Test.
맥종별 수집종 주산지 및 재배한계지 수집종자 유묘의 엽록소 및 광합성 함량
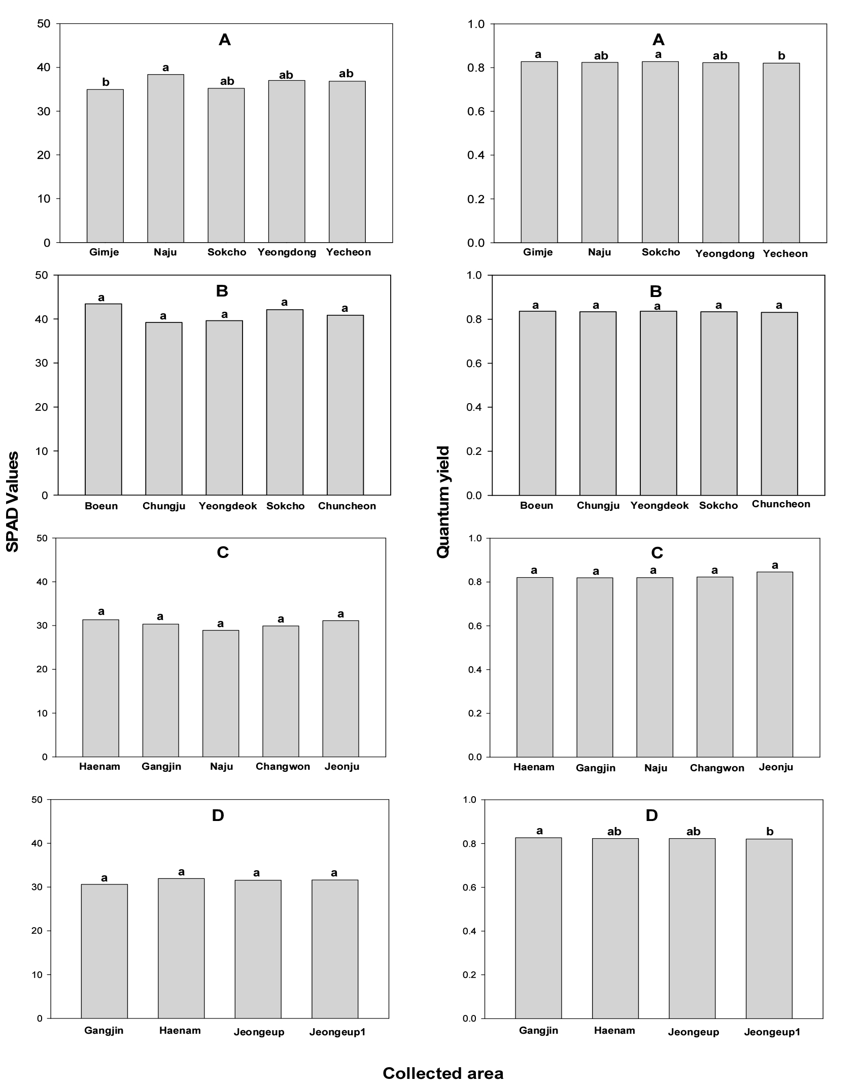
저온조건하에서 생장한 맥종별 주산지와 재배한계지에서 수집한 종자를 파종 후 15일에 엽록소와 광합성 효율을 조사하였다(Fig. 6). 앞의 일부 수집종간의 초장과 지상부 생체중의 차이를 엽록소 함량과 관련성을 알아보기 위하여 조사하였으나 쌀보리 주산지 김제를 제외한 겉보리, 맥주보리 및 쌀보리의 주산지와 재배한계지와 상관없이 유의적인 차이가 없었다. 광합성 효율에도 겉보리와 맥주보리의 주산지와 재배한계지의 수집종간에 유의적인 차이가 없었다. 쌀보리 경우도 김제와 속초의 광합성 효율이 예천에 비해 유의적으로 높았을 뿐 그 밖의 수집종간에는 차이가 없었다. 따라서 일부 수집종에서 생장량 차이와 엽록소와 광합성의 차이와는 관련성이 없는 것으로 판단된다.

Fig. 6
Differences in SPAD values (left) and quantum yield (right) in dehulled barley (A), hulled barley (B), malting barley (C), and naked oat (D) seeds collected from various areas under growth chamber at 13°C. Means within bars followed by the same letters are not significantly different at the 5% level according to Duncan’s Multiple Range Test.
맥종별 수집종 주산지 및 재배한계지 수집종자 유묘의 이차화합물 함량
새싹보리에는 식이섬유가 높게 함유돼 있어 장 기능은 물론 변비예방에 도움을 주고, 철분의 경우도 높다(Lee, 2001). 또한 열량이 낮아 다이어트 및 비만을 예방하는데 효과적으로 이용되고 있다. 또한 식물체에 페놀과 같은 이차화합물은 식물 생장과는 직접적인 관련성은 낮지만 식물방어와 관련성이 높아 페놀, 플라보노이드 함량이 높은 식물체는 병에 대한 저항성 높다는 보고가 있다(Cheynier et al., 2013). 따라서 본 연구는 저온조건하에서 생장한 맥종별 주산지와 재배한계지에서 수집한 종자를 파종 후 15일에 총 페놀, 총 플라보노이드 함량 및 DPPH 라디컬 소거능력을 조사하였다(Table 2). 쌀보리 경우 주산지와 재배한계지간에 총 페놀 함량에는 유의적으로 차이를 보이지 않았으나 김제 수집종은 속초에 비해 총 페놀 함량에서 유의적으로 높았다. 겉보리 경우도 주산지와 재배한계지 수집종간에 일정한 경향을 보이지 않았으나 수집종간에 큰 차이를 보였다. 총 페놀 함량은 수집종 중 영덕>춘천>충주>보은=속초 순으로 유의적으로 높았다. 맥주보리도 총 페놀 함량은 주산지와 재배한계지간에 일정한 경향을 보이지 않았으나 일부 수집종간에 차이를 보였다. 즉 해남 수집종의 총 페놀함량은 강진, 창원 및 전주 수집종에 비해 유의적으로 높았다. 쌀귀리 경우도 주산지와 재배한계지와 총 페놀 함량은 일정한 경향을 보이지 않았고 정읍1에서 강진, 해남 및 정읍에 비해 유의적으로 적었다. 총 플라보노이드 함량도 쌀보리의 일반적으로 주산지와 재배한계지간에 유의적인 차이를 보이지 않았으나 속초 수집종에서 다른 수집종에 비해 적었다. 겉보리 경우도 쌀보리와 유사하게 총 플라보노이드 함량은 주산지와 재배한계지간에 차이를 보이지 않았고 보은 수집종에 비해 충주와 영덕 수집종에서 유의적으로 적었다. 맥주보리 경우 총 플라보노이드 함량은 주산지와 재배한계지간에 차이를 보이지 않았으나 수집종간에 큰 차이를 보였다. 즉 강진>창원>해남=전주>나주 순으로 총 플라보노이드 함량 차이를 보였다. 쌀귀리 경우도 총 플라보노이드 함량은 주산지와 재배한계지와 일정한 경향을 보이지 않았으나 해남 수집종은 강진, 정읍 및 정읍1에 비해 유의적으로 높았다. 녹두 재배온도(15-30°C)에 따라 총페놀과 총플라보노이드 함량은 재배온도가 낮은(15°C) 경우가 재배온도가 높은(30°C) 경우보다 많은 경우를 볼 때 본 연구에서 일부 지역간에 차이도 재배지의 온도 등의 차이에 기인되는 것으로 사료된다(Kim et al., 2009).
Table 2.
Differences in phenol and flavonoid contents and DPPH radical scavenging activity in dehulled barley, hulled barley, malting barley, and naked oat seeds collected from various areas under growth chamber at 13°C.
맥종에 상관없이 DPPH 라디컬 소거능력은 높지 않았다. 쌀보리의 주산지와 재배한계지간에 DPPH 라디컬 소거능력은 유의적인 차이를 보이지 않았으나 김제와 영동 수집종이 나주와 속초 및 예천에 비해 유의적으로 높았다. 겉보리, 맥주보리 및 쌀귀리의 주산지와 재배한계지간에 유의적인 차이가 없으나 일부 수집종간에는 유의적인 차이를 보였다. Kim et al. (2009) 연구에서도 녹두나물 재배온도가 낮을수록 DPPH 라디컬 소거능력이 높을 것을 볼 때 본 연구에서 일부 지역간에 차이도 재배지 기상환경 및 토양환경의 차이에 의해 기인되는 것으로 사료된다. 따라서 기후변화에 따른 겉보리, 쌀보리, 맥주보리 및 쌀귀리 등은 동일품종이라도 재배지역에 따라 종자활력 뿐만 아니라 생장 및 이차화합물의 함량의 차이가 있을 것으로 사료된다.
적 요
본 연구의 목적은 다양한 맥종별 주산지 및 재배한계지에서 수집한 종자에 대한 종자활력과 이들 수집종에 대해 다른 온도조건(25, 13°C)하에서 발아율 및 생장과 저온 조건(13°C)하에서 엽록소 함량, 광합성 효율, 이차화합물(총 페놀, 총 플라보노이드, DPPH 라디컬 소거능력) 차이를 알아보는데 있다. 맥종에 상관없이 주산지와 재배한계지간에 전기전도도 값에는 유의적인 차이가 없었으나 일부 수집종자간에는 전기전도도 값에 차이를 보여 종자활력에 차이가 있음을 알 수 있었다. 25°C의 조건하에서 맥종별로 주산지와 재배한계지 수집종간에 발아율, 초장, 근장 및 지상부 생체중은 유의적인 차이가 없었으나 일부 수집종간에 차이를 보였다. 저온조건하에서도 맥종에 상관없이 주산지와 재배한계지간에 출현율, 초장 및 지상부 생체중에는 차이가 없었으나 일부 수집종간에 차이를 보였다. 그러나 겉보리 수집종은 파종 후 5일째에 출현하였고, 맥주보리와 쌀귀리는 파종 후 7일에 출현하여 맥종별 차이를 보였다. 맥종에 상관없이 수집종간에 엽록소와 광합성의 효율에는 차이가 없었다. 또한 맥종에 상관없이 주산지와 재배한계지간에 총 페놀, 총 플라보노이드 함량 및 DPPH 라디컬 소거능력이는 유의적인 차이가 없었으나 일부 수집종간에 차이를 보였다. 특히 맥주보리 경우 총 플라보노이드 함량은 강진>창원>해남=전주>나주 순으로 차이를 보였다. 따라서 기후변화에 따른 겉보리, 쌀보리, 맥주보리 및 쌀귀리 등은 동일품종이라도 재배지역에 따라 종자활력 뿐만 아니라 생장 및 이차화합물의 함량의 차이가 있을 것으로 사료된다.



