서 론
재료 및 방법
기상자료 분석
시험재료 및 재배 조건
농업적 형질 및 수량 구성요소
통계분석
결과 및 고찰
30년간 경북 내륙 지역 기후변화
30년간 경북 내륙 지역 일품벼 수량 변화
경북 내륙 지역 일품벼 쌀 수량과 수량구성요소의 상관관계
경북 내륙 지역 일품벼 쌀 수량과 기후요인의 상관관계
적 요
서 론
전세계적으로 기후 변화는 농업 생산성과 농산물 품질에 커다란 영향을 미치고 있다(Epule et al., 2021; Liu et al., 2024). 특히, 벼와 같은 곡물은 기온 상승, 일조 시간과 강수량의 변화 등 다양한 기상 요인의 영향을 받고 있으며, 지역적 특성과 재배 환경에 따라 복합적으로 작용한다(Lee et al., 2013). 따라서 이런 기후 변화가 경상북도에서 주로 재배하는 품종인 ‘일품벼’에 미치는 영향에 대해 확인해볼 필요가 있다. 일품벼는 1990년에 육성된 중생종 밥쌀용 품종으로, 경북 내륙 지역에서 재배 안정성과 뛰어난 수량성으로 30년 이상 꾸준히 재배되고 있는 품종이다. 최근 2024년 기준으로 경북 지역 논 면적의 41%(37,210 ha)정도 재배되고 있다.
전세계적으로는 기후온난화로 인하여 평균 기온이 상승하고 있는 추세이며, IPCC (Intergovernmental Panel on Climate Change)는 6차보고서에서 2011~2020년도 지구 평균 온도는 산업화 이전(1850~1900년 평균)보다 약 1.1℃ 상승했다고 보고했다(IPCC, 2023). 우리나라는 최근 10년(2014~2023) 평균기온은 13.1℃로 평년(1991~2020)보다 0.6℃ 상승한 것으로 분석된다. 국립기상과학원에서 발간한 “한반도 100년의 기후변화”에 따르면 우리나라는 지난 106년(1912~2017)동안 연평균기온은 13.2°C로 나타났으며 최근 30년 기온은 20세기 초(1912~1941)보다 1.4°C 상승하였고 평균기온, 최고기온, 최저기온 중 최저기온의 상승폭이 가장 컸다(NIMS, 2018). 이에 따라 기후의 변화가 작물의 생육과 수량에 미치는 영향에 대한 연구가 국내외적으로 활발히 이루어지고 있다.
일조시간, 온도와 같은 기상 요인은 벼 수량과 쌀 품질에 많은 영향을 미치는 것을 여러 연구를 통해 확인된다. 벼 영양생장기에 발생하는 고온에 의한 피해는 거의 발생하지 않으나, 생식생장기, 특히 출수기에는 온도에 매우 민감해 고온으로 인한 불임 피해가 빈번하게 일어난다(Jagadish et al., 2007; Ren et al., 2023). 벼의 성장에 있어 최적 온도는 잎의 신장과 분얼은 25~31℃, 개화기는 30~33℃, 성숙기는 20~29℃가 적합하다(Yoshida, 1981). 만약 등숙기 평균 기온이 적정 온도를 벗어나 고온에 노출이 될 경우, 쌀 수량과 품질에 악영향을 준다(Choi et al., 2011).
빛은 식물의 광합성과 형태 발생에 필수적인 환경요소로 작물의 수량에 결정적인 영향을 미친다(Yang et al., 2007). 벼의 생육에서 일사량 부족은 분얼 발생 억제 및 지연(Nakano, 2000), 영화 형성 감소(Sheehy et al., 2001), 등숙률 저하(Lee et al., 2016), 엽록소 축척(Makino et al., 1997)과도 연관되어 수량 저하의 주요인으로 보고되고 있다. 반대로 일조 시간의 경우 충분히 길어지면 광합성을 통해 동화산물의 생산량이 증가하여 벼 수량성 증가에 기여한다(Cho et al., 2021; Lee et al., 1996). 온난화로 인한 고온은 쌀 수량과 품질에 부정적인 영향을 주지만, 한편으로 일조시간 증가로 인해 긍정적인 영향이 있을 수 있음을 알 수 있다.
변화하는 기후에 대한 작물의 적응은 재배시기와 수확시기 조절, 재배지 변화, 내성품종도입, 시비량과 시비시기 조절, 물관리, 기상예측을 통한 작물 보호 등 광범위한 분야를 포함한다(Howden et al., 2007; Seong et al., 2022; Shin et al., 2015). 이러한 작물의 적응을 위해, 기본적으로 기후 변화에 따른 지역 작물의 수량성 변화에 대한 연구가 기초되어야 한다. 따라서 본 연구에서 경북 지역의 주요 벼 품종으로 오랜 기간 재배되어 재배법이 정착된 일품의 수량과 수량구성요소, 기상요소 사이의 상관관계를 조사하고자 한다. 수년간 영남평야지에 속하는 대구와 남부중산간지 안동의 동일 포장에서 동일한 재배법으로 생산된 일품벼의 수량을 바탕으로 기후변화가 일품벼 수량에 미치는 영향을 분석하였다.
재료 및 방법
본 연구에서는 경상북도에서 주요하게 재배되는 벼 품종인 ‘일품벼’를 대상으로 지난 30년간(1995~2024) 쌀 수량의 변동 양상을 살펴보고, 기온, 일조시간, 강수량과 같은 기상 요인이 수량에 미치는 영향을 검토하였다. 이를 위해 대구와 안동 지역의 동일 포장에서 동일한 재배법으로 관리된 작황 시험구의 수량 자료와 해당 기간의 기상자료를 이용하였다. 또한 수량 구성요소와 주요 기상 인자 간의 상관성을 파악하기 위해 지역별, 생육단계별 기상 요인을 구분하여 비교 분석하였다.
기상자료 분석
기상 자료는 기상청에서 제공하는 1995~2024년 농업기상 데이터 중 종관기상관측(ASOS)를 활용하였으며, 대구(기관지점번호 143; 위도: 35.87797 경도: 128.65296), 안동(기관지점번호 136; 위도: 36.57293, 경도: 128.70733) 자료를 활용하였다. 분석 대상 기간은 벼 이앙기인 5월 하순부터 수확 직전인 10월 상순까지이며, 주요 지표로는 기온, 일조시간, 강수량을 사용하였다. 각 시험포장의 평균 출수기를 기준으로 생육 단계를 영양생장기, 생식생장기, 등숙기로 나누어 기상 요인이 수량에 미치는 영향을 평가하였다. 대구의 경우 6월 1일부터 7월 13일까지를 영양생장기로, 7월 14일부터 8월 18일까지를 생식생장기로, 8월 19일부터 10월 5일까지를 등숙기로 설정하여 평균·최고·최저 기온, 누적 일조시간, 강수량을 분석하였다. 안동은 5월 21일부터 7월 10일까지를 영양생장기, 7월 11일부터 8월 14일까지를 생식생장기, 8월 15일부터 10월 5일까지를 등숙기로 구분하였다.
시험재료 및 재배 조건
대구 시험포장에서는 동일한 관리 조건에서 30년간 재배된 일품벼의 수량을 확보하였고, 안동 지역은 24년간 수량 자료를 수집하여 분석에 사용하였다. 시험재배는 대구광역시 북구 소재 경상북도농업기술원 논 포장과 안동시 북후면 경상북도농업기술원 생물자원연구소 논 포장에서 이루어졌다. 이앙 시기는 대구 5월 30일, 안동 5월 20일이었으며, 재식거리는 30 × 14 cm로 하였다. 시비는 농촌진흥청 표준재배법을 따랐으며, 1994~2004년에는 1,000 m2 당 N-P2O5-K2O=11-4.5-5.7 kg, 2005~2024년에는 1,000 m2 당 N-P2O5-K2O=9-4.5-5.7 kg 수준으로 시용하였다. 수확 후 잔여 지상부는 파쇄하여 환원하였고, 별도의 유기물은 추가로 투입하지 않았다.
농업적 형질 및 수량 구성요소
포기당 이삭 수, 이삭당립수, 등숙률, 정현비율, 현미 천립중, 백미 수량 등 주요 수량 관련 형질은 농촌진흥청의 표준 조사·분석 지침에 따라 평가하였다. 출수 후 약 50~60일이 지난 시점에서 각 품종을 수확한 뒤, 시료의 수분 함량을 15%로 맞추어 현미기(SYTH-88, 쌍용)를 사용하여 제현하였다. 이어 백미기(Satake, Japan)를 활용해 10분도로 도정한 후 수량 분석용 시료로 사용하였다. 모든 조사는 3반복으로 실시하였다.
통계분석
동일 포장에서 동일 재배관리 하에 생산된 일품벼의 백미 수량에 대해, 해당 연도의 수량구성 요소 및 기상 요인과의 관계를 SAS 프로그램(SAS Institute Inc., Cary, NC, USA)의 9.2 버전을 이용하여 단순회귀분석하여 각 요인 간 상관성을 검토하였다.
결과 및 고찰
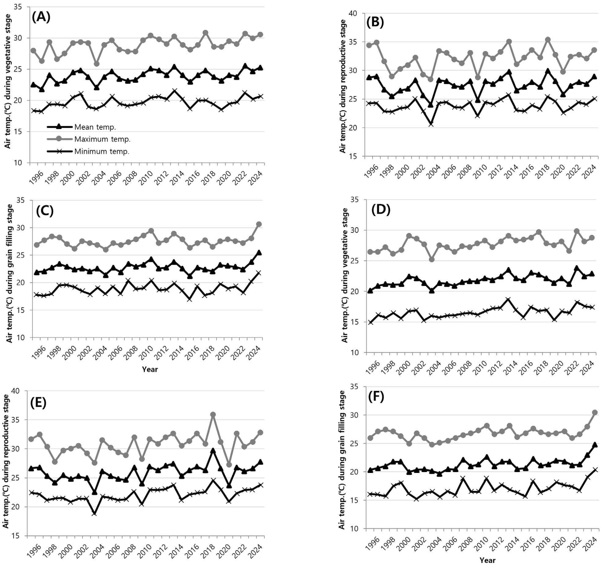
30년간 경북 내륙 지역 기후변화
영남 내륙에 속하는 대구와 경상북도 안동 지역에서 벼 재배기에 나타난 기후 변화와 이에 따른 일품벼 수량 변화를 파악하기 위해 1995년부터 2024년까지 30년 동안의 기온, 강수량, 일조시간 자료를 분석하였다. 지난 30년간 대구와 안동 모두 강수량은 감소 추세를 보였으나, 누적 일조시간은 뚜렷하게 증가했으며 특히 안동 지역에서 증가 폭이 크게 나타났다(Fig. 1).
일품벼 평균 출수기를 기준으로 생육 단계별 기온 변화를 살펴본 결과(Fig. 2), 대구에서는 전체 생육기간(6월 1일~ 10월 5일) 평균기온이 10년당 약 0.4℃ 상승하였다. 이 가운데 영양생장기의 최고기온 상승 폭이 0.8℃/10년으로 가장 컸다. 반면 수량에 가장 영향을 많이 미치는 등숙기의 평균 기온은 0.3℃/10년으로 변화 폭이 작아, 안동에 비해 온도가 미치는 영향은 적을 것으로 생각된다. 안동의 경우 생육기간 평균 기온이 0.6℃/10년 증가하여 대구보다 상승 폭이 더 컸다. 특히 생식생장기의 평균·최고·최저 기온이 모두 0.6℃/10년 증가하였다. 등숙기의 기온 상승 폭은 영양생장기와 생식생장기보다는 낮았으나, 대구에 비해서는 높게 나타났다. 이러한 관측 결과는 앞으로 기온 상승이 지속될 경우 현행 벼 품종을 재배했을 때 최적 등숙온도를 초과하여 수량 감소와 품질 저하가 발생할 가능성이 크다는 점을 시사한다. 국내에서 주로 생산되는 자포니카 벼의 최적 등숙 온도는 21~23℃로 알려져 있으며(Choi et al., 2011; Yun & Lee, 2001), 분석 기간 동안 대구의 등숙기 평균기온은 23℃(최저 21℃, 최고 26℃), 안동은 21℃(최저 20℃, 최고 25℃)로 관측되었다. 2024년에는 두 지역 모두에서 등숙기 최고 기온을 기록하였으며, 대구는 26℃ (최저 22℃, 최고 31℃), 안동은 25℃ (최저 20℃, 최고 30℃)로 나타났다. 대구는 이미 등숙기 평균기온이 높은 지역이므로 생산성 저하 위험이 크며, 안동은 상대적으로 낮은 등숙기 기온으로 일정 부분 수량 및 품질 향상이 기대될 수 있다. 그러나 2024년과 같이 이상적으로 높은 기온이 지속적으로 나타나는 경우, 안동 역시 기온 상승에 따른 긍정적인 효과를 기대하기 어렵다.

Fig. 2.
Changes in mean, maximum, and minimum temperatures during the rice growing season over the past 30 years in Daegu(A~C) and Andong(D~E); vegetative stage (A), reproductive stage (B), grain filling stage (C) in Daegu; vegetative stage (D), reprodctive stage (E), grain filling stage (F) in Andong.
벼 생육기간 중 일조시간은 대구와 안동 지역 모두 전반적으로 증가하는 추세를 보였다(Fig. 3). 대구 지역은 영양생장기에서 가장 뚜렷한 증가 경향을 나타냈으며, 생식생장기와 등숙기 또한 증가세를 보였다. 안동지역 역시 모든 생육 단계에서 일조시간이 증가하였으며, 특히 영양생장기에서의 증가폭이 가장 컸다. 두 지역을 비교했을 때, 내륙 북부 지역인 안동은 대구보다 생육단계 전반에서 증가폭이 더 크게 나타나 일조 증가 경향이 뚜렷한 것으로 확인되었다.
30년간 경북 내륙 지역 일품벼 수량 변화
대구에서는 1995~2024년(30년간), 안동에서는 2001~ 2024년(24년간) 동일 포장에서 동일한 재배법으로 길러진 일품벼의 수량을 분석하였다(Fig. 4). 그 결과, 대구 지역의 경우 1990년대 후반 5년 평균 대비 2010년대 후반 5년 평균 수량이 약 18% 증가하여 1,000 m2 당 640 kg 수준을 기록하였다. 그러나 최근 5년 평균 수량은 1,000 m2 당 573 kga로, 2010년대 후반보다는 다소 낮아졌다.
안동은 대구보다 수량 증가폭이 더 컸으며, 2000년대 초반 대비 2010년대 후반 5년 평균 수량이 약 24% 늘어났다. 다만 2003년과 2007년에는 저온과 잦은 강우의 영향으로 대구보다 안동에서 수량 감소가 뚜렷하게 나타났다. 해당 연도의 기상재해 영향을 제외하더라도 두 지역 모두에서 장기적으로 유의한 수량 증대를 확인할 수 있었다.
또한 시험포장의 질소 시비량이 2005년을 기점으로 1,000 m2 당 11 kg에서 9 kg로 줄어든 점을 고려하면, 최근의 기상 여건 변화가 수량 향상에 기여한 효과는 실제보다 더 크게 평가될 수 있다. 지난 30년간 기온 상승과 함께 출수기의 변화도 관찰되었는데(Fig. 5), 지역 특성 관계없이 전반적으로 출수 시기가 빨라지는 경향을 보였다.
경북 내륙 지역 일품벼 쌀 수량과 수량구성요소의 상관관계
쌀 수량은 포기당 이삭 수, 이삭당 낟알 수, 낟알 무게, 등숙률과 같은 수량구성요소에 의해 결정된다. 대구와 안동 지역에서 재배된 일품벼의 수량과 이들 요소 간의 관계를 분석하여 수량성에 기여하는 주요 요인을 검토하였다(Table 1). 분석 결과, 대구에서는 포기당 이삭 수가 수량 증가와 밀접한 상관성을 보였으며, 안동에서는 출수기가 빨라질수록 수량이 증가하는 경향이 나타났다(p<0.05).
Table 1.
Correlation between rice yield and yield components of the cultivar ‘Ilpum’ in Daegu (over the past 30 years) and Andong (over the past 24 years).
경북 내륙 지역 일품벼 쌀 수량과 기후요인의 상관관계
1995년부터 2024년까지 30년간의 일품벼 수량 자료를 바탕으로, 생육단계(영양생장기, 생식생장기, 등숙기)별 기상요소가 수량에 미치는 영향을 비교 분석하였다(Tables 2, 3, and 4). 이전 연구와 유사하게 중만생종인 일품벼는 일조시간과 쌀 수량에 유의적인 양의 관계를 나타냈다(Shin et al., 2020; Shin et al., 2019). 대구 지역에서는 등숙기 일조시간의 증가와 영양생장기 평균기온 상승이 수량 증가와 뚜렷한 상관성을 보였다. 반면 안동에서는 영양생장기의 평균 및 최고기온, 생식생장기의 평균·최고·최저 기온이 모두 유의적인 양의 상관을 나타냈으며, 전 생육기에 걸친 일조시간 증가도 수량 향상에 기여한 것으로 판단된다.
Table 2.
Correlation between rice yield of the cultivar ‘Ilpum’ and yield components with climatic factors in Daegu over the past 30 years.
Table 3.
correlation between rice yield of the cultivar ‘Ilpum’ and yield components with climatic factors in Andong over the past 24 years.
두 지역의 자료를 통합하여 통계 처리한 결과 쌀 수량은 전체 일조시간과 유의적인 양의 상관성을 보였으며(Table 4), 이는 이전 연구 결과와 유사한 결과이다(Lee et al., 2013). 본 통합 통계 처리 결과, 영양생장기와 생식생장기의 최고기온과도 관계가 있었다. 대구의 출수기 단축은 영양생장기와 생식생장기의 일조시간, 그리고 생식생장기 기온 상승과 상관관계가 있으며, 안동의 경우 생식생장기 평균·최고기온과 영양생장기 및 생식생장기의 일조시간이 영향이 큰 것으로 확인되었다. 두 데이터를 종합적으로 처리하였을 때 기온보다 일조시간이 출수기에 더 큰 영향을 미쳤으며, 영양생장기와 생식생장기 일조시간은 출수기와 강한 음의 상관관계를 보였다(Table 4). 1998년부터 2002년 간 충남지역 쌀 수량과 구성요소간 영향 분석 연구에서도 동일하게 일조시간과 출수기 지연에 관련한 상관관계를 확인하였다(An & Cho, 2010). 또한 등숙률은 등숙기의 최고기온과 일조시간과 유의한 양의 상관성을 보였으며(Lee et al., 2013), 제현율은 전 생육기간에 걸친 평균·최고·최저 기온과 모두 양의 상관을 나타냈다. 이는 생육 전반에서 고온 조건이 지속될 경우 왕겨의 비율이 증가할 수 있음을 시사한다. 현미 천립중은 생식생장기 강수량과 음의 상관관계를 보였고, 백미 수량은 전 기간 일조시간 및 영양생장기와 생식생장기의 최고기온과 유의적인 양의 상관관계를 보였다.
Table 4.
Correlation between rice yield of the cultivar ‘Ilpum’ and yield components with climatic factors in Daegu and Andong (integrated analysis).
본 연구 결과는 벼 재배 기간 중 기온 상승 및 일조시간 증가가 경북 내륙 지역에서 장기간 재배된 단일품종(일품)의 출수기 변화 및 품질 저하의 주요 요인으로 작용할 수 있음을 시사한다. 기온 상승의 경우, 일시적인 수량 상승과 연관이 있으나 쌀 품질에 부정적 영향을 줄 수 있다. 따라서 기후변화에 따라 내륙 지역 벼 재배의 안정성과 품질 경쟁력을 동시에 확보가 필요하다. 이에 따라 출수기와 등숙기의 온도 조건을 예측하여 이앙 시기를 조절하는 기술이 중요하며 정밀 생육관리 기술의 도입이 필요하다(Seo et al., 2020; Yang et al., 2023). 또한 기후 변화에 따른 극한 기후 적응성이 높은 품질 개발이 꾸준히 요구된다(Cho et al., 2015; Park et al., 2021). 동일한 품종이라도 지역간 기상패턴에 따라 등숙기 조건이 상이하므로, 기후 적응형 품종을 구축하고 실증시험을 통해 경제성과 품질을 동시에 검증하는 체계적인 접근이 필요하다.
적 요
본 연구에서는 경북 내륙 지역의 대표 벼 품종인 일품벼를 대상으로 기후 변화와 수량 변화를 분석하였다. 그 결과, 대구(과거 30년)와 안동(과거 24년) 모두 장기간에 걸쳐 쌀 수량이 유의하게 증가하는 경향을 보였으며, 이는 기온 상승과 더불어 일조시간 증가의 영향으로 판단된다. 특히 대구 지역은 등숙기의 기온 상승폭이 상대적으로 적어 수량 감소 요인이 제한적이었으며, 포기당 이삭 수가 수량성 증대의 핵심 요인으로 나타났다. 안동 지역은 출수기가 빨라지고 생육기간 평균 기온 상승폭이 커 수량 향상에 기여한 것으로 분석되었다.
기상요인과의 상관분석 결과, 두 지역 모두 일조시간 증가가 쌀 수량성에 긍정적인 영향을 주었으며, 등숙률은 등숙기의 최고기온과 일조시간과 밀접한 관련이 있었다. 반면, 현미 천립중은 생식생장기의 강수량과 음의 상관을 보여 강우 과잉이 쌀 품질에 불리하게 작용함을 시사하였다. 따라서 향후 기후변화로 인해 벼 생육기 기온이 지속적으로 상승할 경우, 최적 등숙온도를 초과하여 수량과 품질 저하가 발생할 가능성이 크다. 이에 따라 내륙 지역 벼 재배에서는 고온 내성 품종을 개발하거나 재배시기 조절 및 관리 기술 개발을 통해 기후 변화에 따른 대응이 필요하다. 본 연구에서 제시한 결과는 기후변화 적응형 벼 재배 전략 수립과 안정적인 쌀 생산 기반 마련에 기초 자료로 활용될 수 있을 것이다.






