© The Korean Society of Crop Science
ABSTRACT
우리나라에서 쌀은 주요한 식량원으로서 막대한 경제적, 산업적 가치를 가지고 있으나 연간 소비량의 지속적인 감소 와 최소시장 접근물량(Minimum Market Access, MMA)의 수입량 증가 등으로 쌀 재고량은 증가하고 있는 실정이다. 또한 벼는 재배기간이 비교적 긴 반면, 수확기간이 짧기 때 문에 안전하게 식량으로 이용하기 위해서는 건조 및 저장과 정이 필수적이고 수확 후 관리 방법에 따라 품질변이가 크 므로 건조, 도정, 저장, 가공 및 포장기술의 개발 및 개선이 지속적으로 요구되고 있다. 수확된 산물벼는 건조 후 사일 로 또는 창고에서 장기간 정조형태로 저장되는데 이때 저장 중 정조의 품질은 저장기간과 온도, 수분함량 등에 의해 변 화된다. 저장 중 일어나는 물리적인 변화로는 도정수율 및 흡수율의 저하, 취반 시 팽창용적의 증가, 미반립의 경화 및 광택감소 등이 있다. 화학적인 변화로는 밥의 호화특성의 변화, 지방산과 아밀로오스 복합체 형성에 의한 전분의 용 해도 및 팽윤력 감소, 지방산도 변화, 불포화지방산의 자동 산화에 의한 고미취의 주성분인 hexanal 등 카르보닐 화합 물의 증가 및 단백질의 용해도 감소 등이 알려져 있다(Chrastil J., 1990; Ramarathnam et al., 1987; Zhou et al., 2001).
저장 중 쌀의 품질 변화에 대한 많은 보고가 있었는데 Kim et al. (2006)은 도정과정에서 불균일도정은 과도정이 발생하면서 균일도정에 비해 함수율 차이가 발생하였으며, 저장과정에서 함수율 변화의 차이는 나타나지 않았지만 초 기 함수율 차이가 지속적으로 유지되었다고 하였다. Choi et al. (2006)에 의하면 정조함수율이 많고 저장온도가 높을 수록 호흡률이 높았고 현미의 지방산도는 저장기간이 경과 할수록 8개월까지 급격히 증가하였으며 식미관능평가치와 현미색도 b값, 밥의 윤기치 및 현미색도 L값은 정의 상관을 나타냈고 강하점도, 최고점도 및 현미 지방산도와는 부의 상관을 나타냈다고 하였다. 또한 Soponronnarit et al. (2008) 에 따르면 태국의 북동부에서 재배되는 장립종 품종인 Khao Dawk Mali 105를 이용하여 실험한 결과 저장기간이 길어 질수록 물 흡수는 증가하고 최고점도는 감소하는 경향이며, setback과 최종점도는 증가하는 경향을 보인다고 하였다. Kim et al. (2007)은 고온저장(35°C)시 발아율, 현미 단백 질, 지방산도 및 lipoxygenase 활성이 저장기간 및 품종 간 차이가 크게 있었으며 두 요인의 상호작용도 인정되어 저장 기간별 품종 간 차이가 다르게 나타났다고 하였다. 지방산 도와 발아율 간에는 부의 상관을 보였고 lipoxygenase 활성 과는 정의 상관을 나타낸다고 하였다. 저장 중 지방산 조성 의 변화와 관련한 보고는 많지 않으나 Yoshida et al. (2011) 에 따르면 미강에 존재하는 지방은 triacylglycerols, free fatty acid 및 phospholipids가 주된 지방산으로 구성되어 있다고 하였으며 Zhou et al. (2003b)은 저장 중 지방산 조성을 분 석한 결과 현미의 Oleic acid와 Linoleic acid의 양이 감소하 였다고 하였다. 그 외에도 미곡의 장기저장에 의한 품질 특 성 변화, 고온저장시 발아율 및 지방산도의 품종 간 차이, 벼 저장기간이 밥맛에 미치는 영향, 저장 중 아밀로그램 특 성 및 저장 조건에 따른 향미의 2-acetyl-1-pyrroline 함량의 차이, 저장 중 쌀의 품질 유지를 위한 포장방법을 구명하기 위한 저장 중 쌀 전분의 구조적 특성 분석 등 저장기간, 저 장온도 및 저장형태 등 저장조건에 따른 저장 중 미질특성, 이화학적 특성의 변화에 대해 다양한 각도로 많은 연구가 수행되었으나(Kanlayakrit & Maweang, 2013; Katekhong & Charoenrein, 2012; Parnsakhorn et al., 2013; Perdon et al., 1997; Shin et al., 1991; Tananuwong & Malila, 2011; Yoon et al., 2007; Yoshihashi et al., 2004; Zhou et al., 2003ab) 장기저장 중 미질 및 밥맛저하가 적은 품종을 선발 하기 위한 지표로서 명확하게 제시하기는 어려운 실정이다.
우리나라의 경우 고온다습한 여름철에 저장 중인 벼의 품 질이 급속히 떨어지므로 적절한 온도 및 습도를 조절하여 저장할 필요가 있으나 현재 국내 미곡종합처리장(RPC)에 는 온도 및 습도를 조절할 수 있는 저온창고가 극히 적어 4월 이후 온도 상승 시 저장 중인 벼의 품질이 급격히 저하 되고 있는 실정이다. 우리나라 RPC는 수확기 매입량에 비 해 가공능력이 우수하나 저장능력은 수확기 매입량 대비 약 70% 정도로 규모가 작고(Lee et al., 2008) 저온 저장시설 또한 부족하여 수확기 산물벼의 상온 야적보관량이 많기 때 문에 고온다습한 여름철로 인하여 미곡의 품질관리가 지극 히 어려운 실정이다. 따라서 본 연구는 RPC에서 유통되는 브랜드화된 5품종을 이용하여 저장온도를 달리하고 저장기 간별로 쌀의 이화학적 특성 및 지방산 조성을 분석하여 벼 수확 후 상온 장기 저장시 쌀 품질저하가 적은 벼 품종 개 발을 위한 기초자료로 활용할 목적으로 수행하였다.
재료 및 방법
시험재료
본 시험에 사용한 벼 품종은 지역브랜드로 RPC에서 유 통되고 있는 신동진(익산, 명천 RPC), 일미 및 히또메보레 (해남, 옥천 RPC), 추청(김포, 천현정미소), 호품(담양, 농협 RPC) 등 5품종을 구매하여 분석에 이용하였다. 시험재료는 RPC에서 상온 야적 보관하는 방식과 같이 PP (polypropylene) 포대를 이용하여 정조상태로 상온에서 일반창고 및 최적 저 장온도인 15°C 조건에서 저온창고를 이용하여 저장하였으 며 일반창고에서 저장 중 온도 및 습도의 변화는 Table 1에 서 보는 바와 같이 계절에 따라 큰 폭으로 변하였다. 두 가 지 온도 조건에서 2년간 보관하면서 4개월마다 정조를 꺼 내 제현한 현미시료와 현미 무게 대비 90%로 도정한 백미 시료를 분석하여 비교하였다.
Table 1.
Temperature and humidity in the ambient storage.
| Storage period | Temperature (°C) | Humidity (%) |
|---|
|
|
|---|
| Minimum | Maximum | Average | Minimum | Maximum | Average |
|---|
|
|---|
| 4 | 2.9 | 21.2 | 11.7 | 52.5 | 91.4 | 68.7 |
| 8 | 19.9 | 29.3 | 24.4 | 67.8 | 93.3 | 80.7 |
| 12 | -3.4 | 24.9 | 8.4 | 30.1 | 80.0 | 65.4 |
| 16 | -1.0 | 20.5 | 9.0 | 47.3 | 85.6 | 69.0 |
이화학적 특성 분석
정조의 함수율은 92°C로 건조한 후에 건조 전 중량과 건 조 후 중량의 차이로 측정하였고 쌀의 외관품위는 품위분석 기(Cervitec 1625, FOSS, Japan)를 이용하여 완전립률, 분 상질립률, 싸라기 비율 등을 조사하였다. 알칼리붕괴도(ADV) 는 쌀을 알칼리용액(1.4% KOH)에 침지하면 쌀의 전분이 용해되는데, 이는 호화온도와 높은 부의 상관을 나타내는 주요한 미질 특성으로, 백미 6립을 1.4% KOH 용액 20 mL 에 침지하여 30°C 항온기에서 23시간 정치 후 퍼짐도(spreading) 와 투명도(clearing)를 고려하여 1~7등급으로 조사하였다. 밥맛과의 연관성이 높은 도요윤기치는 TOYO 미도메타(MA- 90A·B, Toyo rice corporation, Japan)를 이용하여 분석하였 는데 취반 중 쌀알 내부에서 나온 용출물이 밥알표면에 보 수막을 형성하고 이 보수막의 양을 측정함으로써 그 값을 비교하였다. 밥의 조직감은 Texture Analyzer (TAXT-plus, Stable micro systems, England)를 이용하여 밥의 경도, 부 착성, 탄력성, 응집성, 씹힘성 등을 조사하였으며 밥의 호화 특성은 신속점도측정계(RVA-4, Newport scientific, Australia) 를 이용하여 최고점도, 최저점도 및 최종점도 등을 조사하 여 breakdown, setback 등으로 호화특성을 비교하였다.
지방산도 및 지방산 분석
지방산도는 분쇄한 현미 및 백미 분말 10 g을 AOAC (1970) 의 방법에 준하여 benzen을 이용하여 추출하고 alcoholphenolphthalein용액으로 용해시킨 후 KOH 표준용액(0.0178 N)으로 적정하여 KOH mg·100 g-1으로 표시하였다. 또한 저장온도 및 저장기간에 따른 현미 및 쌀의 지방산 조성의 품종 간 차이를 비교하기 위해 Kim et al. (2013)의 방법에 따라, 곱게 마쇄한 현미 및 백미 5 g을 pear-shaped flask에 넣고, MeOH 15 mL와 sodium methoxide 1 mL (30 wt%) 를 첨가한 후 100°C의 oil-bath에서 2시간 동안 methylation 시켰다. Methylation 후 상온에서 약 1시간 냉각하고 n-hexane 5 mL를 혼합한 후 흔들어 섞은 다음 상층액을 필터(ø 45 μm)로 여과하여 가스크로마토그래피(Agilent 7890A, USA) 로 분석하였다. 가스크로마토그래피에 사용하는 컬럼은 Silica capillary 컬럼(HP-INNOWAX, 30 m × 0.32 mm × 0.25 μm) 을 이용하였으며, 주입부(Inlet) 온도는 200°C, flame ionization detector (Agilent, USA)는 250°C에서 사용하였다. Oven 온 도는 100°C에서 1분간 유지한 후, 250°C까지 상승시켰으며 1분마다 8°C 상승시켰다. 그 후 250°C에서 10분간 유지하 여 각각의 머무름 시간을 확인하고 각 peak의 면적을 상대 적인 백분율로 나타내었다.
결과 및 고찰
이화학적 특성 간의 상관분석
벼 정조저장 중 저장온도 및 저장기간에 따른 쌀의 이화 학적 특성 및 지방산 조성의 변화를 조사하기 위하여 정조 의 함수율, 알칼리붕괴도(ADV), 도요윤기치, 밥의 호화특 성, 조직감(texture), 지방산도 및 지방산 조성을 분석하였 다. 조사한 특성들 간의 상관관계를 분석한 결과는 Table 2 과 같다. 알칼리붕괴도(ADV)는 최고점도, 경도 및 씹힘성 과는 부의 상관관계를 나타냈고 종자함수율, 부착성, setback 과는 정의 상관관계를 나타내었다. 도요윤기치는 최고점도, breakdown, 경도, 탄력성 및 씹힘성과는 부의 상관관계를, 종자 함수율 및 setback과는 정의 상관관계를 나타냈다. 밥 의 호화특성은 밥의 조직감(texture), 지방산도 및 포화지방산과 유의한 상관성을 나타냈으나 부착성과는 통계적으로 유의한 상 관성이 없었다. 밥의 경도(hardness), 부착성(adhesiveness), 탄 력성(springiness), 응집성(cohesiveness), 씹힘성(chewiness) 등의 밥의 조직감은 포화지방산과는 통계적으로 유의한 상 관성을 나타내지 않았으나 최고점도, breakdown, setback 등의 밥의 호화특성 및 지방산도와는 통계적으로 유의한 상 관관계를 나타냈다. 이는 밥의 응집성과 setback이 유의한 상관관계를 나타냈다는 Elaine et al. (1999)의 보고와 일치 하는 결과를 보였다. 저장 기간 동안 정조의 함수율은 ADV, 도요윤기치, 밥의 호화특성, 씹힘성을 제외한 조직 감, 지방산도와는 통계적으로 유의한 상관성을 나타냈으나 지방산 조성과는 통계적으로 유의한 상관관계를 나타내지 않았다. 품종, 저장온도 및 저장기간에 따른 쌀의 이화학적 특성 및 지방산도의 변화는 종자의 함수율과 연관성이 있으 므로 저장 중 쌀의 품질 유지를 위해 종자의 수분함량을 유 지시키는데 노력해야 할 것으로 생각된다. 저장 중 밥맛의 변화와 연관성이 깊을 것으로 생각되는 밥의 호화특성은 지 방산도 및 포화지방산과 통계적으로 유의한 상관관계를 나 타내고 밥의 조직감 또한 지방산도와 유의한 상관관계를 나 타내므로 저장 중 지방산 관련 특성 및 쌀의 이화학적 특성 과의 연관성에 대한 좀더 면밀한 연구가 필요할 것으로 생 각된다.
Table 2.
Correlation coefficients among physicochemical properties of milled rice during storage of rough rice at different temperatures.
| ADVz | Toyo | PV | BD | SB | HD | AH | SG | CH | CW | FA | SFA |
|---|
|
|---|
| Toyo | 0.1266 | | | | | | | | | | | |
| PV | -0.2009* | -0.2996*** | | | | | | | | | | |
| BD | -0.1349 | -0.3777*** | 0.9256*** | | | | | | | | | |
| SB | 0.2537** | 0.2569** | -0.8933*** | -0.9688*** | | | | | | | | |
| HD | -0.2958*** | -0.3824*** | 0.2343** | 0.2482** | -0.1832* | | | | | | | |
| AH | 0.2626** | -0.1090 | -0.1024 | 0.0297 | -0.0171 | -0.5992*** | | | | | | |
| SG | 0.0004 | -0.3077*** | 0.2790*** | 0.2714** | -0.1717* | 0.4527*** | -0.4010*** | | | | | |
| CH | 0.1051 | -0.0618 | 0.3745*** | 0.3688*** | -0.3382*** | -0.1126 | 0.1416 | 0.4688*** | | | | |
| CW | -0.1987* | -0.3678*** | 0.3974*** | 0.4010*** | -0.3206*** | 0.8026*** | -0.4926*** | 0.7793*** | 0.4670*** | | | |
| FA | 0.0936 | 0.1445 | -0.6344*** | -0.5788*** | 0.5302*** | -0.2254** | 0.2210** | -0.3213*** | -0.2252** | -0.3345*** | | |
| SFA | 0.1286 | -0.0585 | 0.3901*** | 0.3556*** | -0.2869*** | 0.1264 | -0.1492 | 0.1570 | -0.0172 | 0.1143 | -0.3043*** | |
| MCR | 0.3177*** | 0.3438*** | -0.3868*** | -0.352*** | 0.286*** | -0.704*** | 0.2585** | -0.324*** | -0.1004 | -0.648*** | 0.2266** | -0.0812 |
저장에 따른 쌀의 이화학적 특성의 변화
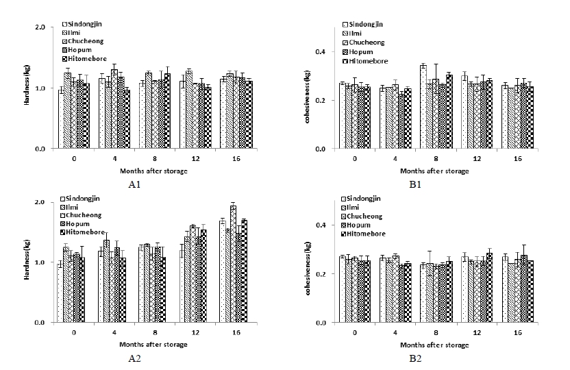
정조저장 기간 동안 상온에서 저장한 경우 정조의 함수율 변화는 크지 않았으나 저온저장의 경우에는 팬을 이용해 공 기를 순환하여 온도를 15°C로 유지하는 저장시설에서 PP (polypropylene)포대에 정조상태로 저장되어 습도 유지에 어려움이 있었으며 저장 12개월 후에는 정조의 함수율이 낮게 유지되었다. 저장 중 쌀의 이화학적 특성의 변화는 종 자의 함수율과 상관성이 있고(Table 2) 품종, 저장온도 및 저장기간에 따른 영향 뿐만 아니라 서로 상호작용 효과가 있으므로 저장온도 및 저장기간에 따른 품종 및 저장조건의 차이를 단일효과로 표현하기에는 어려움이 있다. 정조 저장 중 쌀의 이화학적 특성 및 지방산의 변화는 품종 간 통계적 으로 유의한 차이를 보였으나 쌀의 지방산도 변화는 통계적 으로 유의한 차이는 없었다. 정조 저장 중 저장온도에 따른 밥의 탄력성 및 쌀의 포화지방산 함량을 제외한 쌀의 이화 학적 특성의 변화는 저장온도에 따라 통계적으로 유의한 차 이를 나타냈다. 또한 정조 저장 중 저장기간에 따른 쌀의 이 화학적 특성, 지방산도 및 포화지방산 함량은 저장기간에 따라 통계적으로 유의한 변화를 나타냈다(Table 3). 밥의 경 도, 부착성, 탄력성, 응집성 및 씹힘성 등의 밥의 조직감은 응집성을 제외한 나머지 특성들 간에 통계적으로 유의한 상 관성이 나타났다(Table 2). 밥의 조직감은 상온저장보다 오 히려 저온저장에서 그 변이폭이 약간 커 보였는데 이는 저 온저장 중 수분함량의 변화와 연관성이 있을 것으로 생각되 며 밥의 씹힘성과 고도로 유의한 정의 상관관계를 나타내고 밥의 부착성과 부의 상관관계를 나타내는 밥의 경도는 상온 저장에서 신동진 품종이 저장전에 비해 저장기간 오래될수 록 대체로 높게 유지되었고 저온저장에서는 신동진, 추청, 히또메보레 품종이 높게 유지되었다. 또한 저장기간이 길어 질수록 밥의 경도는 증가하였는데 이는 Tananuwong et al. (2011) 및 Sirisoontaralak & Noomhorm (2007)의 보고와 같은 결과를 나타냈다. 밥의 탄력성과 정의 상관관계가 있 었던 밥의 응집성은 저장전과 비교해서 저장온도 및 저장기 간에 따라 품종간 뚜렷한 차이를 나타내지 않았다(Fig. 1). 저장 중 저장온도가 높을수록 밥의 경도 및 응집성은 증가 하고 밥의 부착성은 감소하며 저장기간이 길수록 밥의 경도 및 응집성은 감소하고 밥의 부착성은 증가한다는 Park et al. (2012)의 보고와는 다소 차이를 나타냈는데 이는 종자의 함수율과 연관성이 있을 것으로 생각된다.
Table 3.
value by ANOVA of physicochemical properties of milled rice treated by variety, storage temperature and period.
| ADVz | Toyo | BD | SB | HD | AH | SG | CH | CW | FA | SFA |
|---|
|
|---|
| Variety | 73.13** | 210.33*** | 52.43*** | 148.87*** | 2699.53*** | 9.22*** | 4.85** | 4.33** | 2.96* | 1.21 | 63.21*** |
| Period | 9.17*** | 133.11*** | 1088.33*** | 817.19*** | 142.42*** | 6.06*** | 6.34*** | 3.75** | 24.94*** | 86.22*** | 68.47*** |
| Temperature | 29.55*** | 13.93*** | 225.46*** | 167.53*** | 14.27*** | 77.92*** | 1.02 | 16.13*** | 22.24*** | 2.97 | 0.68 |
| replication | 1.91 | 0.17 | 0.65 | 0.31 | 1.85 | 0.80 | 1.10 | 0.00 | 0.73 | 2.06 | 0.96 |
Variety* Period | 3.57*** | 11.06*** | 6.14*** | 8.35*** | 21.99*** | 2.03* | 1.16 | 1.82* | 2.40** | 1.21 | 8.13*** |
Variety* Temperature | 2.35 | 9.55*** | 2.83* | 4.08** | 18.86*** | 1.59 | 1.09 | 0.69 | 0.51 | 0.69 | 1.00 |
Period* Temperature | 9.22*** | 14.36*** | 47.76*** | 29.86*** | 5.25*** | 6.76*** | 5.49*** | 11.00*** | 25.62*** | 1.13 | 4.76** |
Variety*Period * Temperature | 1.19 | 10.08*** | 5.67*** | 8.11*** | 11.13*** | 1.22 | 1.00 | 1.09 | 2.82*** | 1.30 | 1.76* |
Table 4에서 보는 바와 같이 일반적으로 밥맛과 부의 상 관관계를 나타내는 ADV는 품종, 저장기간에 따라 다소 차 이는 있으나 저장온도에 의한 영향은 미미하였다. 저장전 ADV 값은 추청, 신동진, 일미, 히또메보레, 호품 순으로 높 은 값을 나타냈으며 일미와 추청의 경우는 저장온도 및 저 장기간에 따른 변화가 거의 없었고 신동진, 호품 및 히또메 보레의 경우는 상온저장의 경우 통계적으로 유의한 차이는 나타나지 않은 반면 저온저장의 경우 저장기간이 길어질수 록 ADV 값은 작아지는 경향을 보였다.

Fig. 1.
Changes of hardness and cohesiveness of cooked-rice stored at ambient and low temperature (15°C) among tested varieties according to storage periods of rough rice. A1; Hardness under storage at ambient temperature condition, A2; Hardness under storage at low temperature (15°C) condition, B1; Cohesiveness under storage at ambient temperature condition, B2; Cohesiveness under storage at low temperature (15°C) condition.
Table 4.
Changes of alkali digestion value and Toyo glossiness value of milled rice among varieties of rough rice at different storage temperatures and periods.
| Variety | Storage temperaturez | Storage perio(months) |
|---|
|
|---|
| 0 | 4 | 8 | 12 | 16 |
|---|
|
|---|
Alkali digestion value | Sindongjin | ATC | 5.6±0.09b(1) | 6.2±0.77a(1) | 5.8±0.06b(1) | 5.7±0.24bc(1) | 5.4±0.20b(1) |
| LTC | 5.6±0.09b(2) | 6.3±0.29v(1) | 5.7±0.44w(12) | 5.3±0.22w(23) | 4.8±0.56w(3) |
|
| Ilmi | ATC | 5.3±0.06c(1) | 5.1±0.64a(1) | 5.6±0.08bc(1) | 5.3±0.17cd(1) | 5.4±0.20b(1) |
| LTC | 5.3±0.06c(1) | 5.1±0.39w(1) | 5.1±0.34wx(1) | 4.9±0.70wx(1) | 4.7±0.25w(1) |
|
| Chucheong | ATC | 6.7±0.08a(1) | 5.4±0.94a(2) | 6.9±0.06a(1) | 6.9±0.06a(1) | 6.6±0.44a(1) |
| LTC | 6.7±0.08a(1) | 6.4±0.87v(1) | 6.5±0.50v(1) | 6.9±0.15v(1) | 5.7±0.88v(1) |
|
| Hopum | ATC | 5.2±0.06c(1) | 5.2±0.96a(1) | 5.5±0.08c(1) | 5.2±0.26d(1) | 5.0±0.00b(1) |
| LTC | 5.2±0.06c(1) | 5.1±0.49w(1) | 4.6±0.28x(12) | 4.3±0.44x(2) | 4.1±0.21w(2) |
|
| Hitomebore | ATC | 5.3±0.11c(2) | 5.7±0.14a(1) | 5.8±0.10b(1) | 5.8±0.14b(1) | 5.1±0.03b(2) |
| LTC | 5.3±0.11c(12) | 5.8±0.12vw(1) | 4.9±0.47x(23) | 4.2±0.17x(4) | 4.6±0.36w(34) |
|
| Toyo value | Sindongjin | ATC | 74.2±1.57c(1) | 69.4±2.07b(2) | 67.1±1.37b(2) | 67.8±1.23b(2) | 66.9±1.25ab(2) |
| LTC | 74.2±1.57c(1) | 59.6±6.21y(3) | 70.4±1.37w(12) | 68.1±0.20w(2) | 66.1±0.87w(2) |
|
| Ilmi | ATC | 63.3±1.09d(2) | 68.3±2.14b(1) | 60.5±1.39c(3) | 59.6±0.66c(3) | 58.9±0.95d(3) |
| LTC | 63.3±1.09d(2) | 63.0±0.60y(2) | 67.2±0.40x(1) | 62.1±1.02y(2) | 59.6±0.49y(3) |
|
| Chucheong | ATC | 76.0±0.46b(1) | 61.4±0.83c(4) | 68.7±1.13ab(2) | 66.6±1.48b(3) | 62.7±1.01c(4) |
| LTC | 76.0±0.46b(1) | 73.2±1.37vw(2) | 70.8±2.12w(3) | 68.3±0.68w(4) | 64.1±0.64x(5) |
|
| Hopum | ATC | 74.9±0.78bc(1) | 67.9±3.23b(2) | 66.1±2.04b(2) | 68.8±1.41b(2) | 66.1±0.82b(2) |
| LTC | 74.9±0.78bc(1) | 68.8±1.23w(3) | 71.9±0.88w(2) | 66.3±0.22x(4) | 63.7±1.12x(5) |
|
| Hitomebore | ATC | 79.3±0.29a(1) | 75.2±0.30a(2) | 70.9±0.25a(3) | 71.9±1.18a(3) | 69.4±2.85a(3) |
| LTC | 79.3±0.29a(1) | 77.5±1.57v(2) | 76.7±0.27v(2) | 69.8±0.92v(3) | 70.2±0.70v(3) |
또한 밥맛과 정의 상관관계를 나타내는 도요윤기치의 경 우 저장전 히또메보레, 추청, 신동진, 호품, 일미 순으로 높 은 값을 나타냈다. 저장초기에는 품종 및 저장온도에 따른 품종간 차이는 크지 않았고 저장 후 4개월 이후부터 상온 및 저온저장 모두 도요윤기치 값이 떨어지는 경향이었으며 오히려 저온저장의 경우 그 값의 변화가 심하였다. 그러나 신동진은 상온 및 저온저장 모두 저장 4개월 후 도요윤기치 값이 감소한 이후 저장기간이 길어져도 도요윤기치 값의 차 이는 통계적으로 유의하게 나타나지 않은 반면 추청, 호품 의 경우는 저장기간이 길어질수록 도요윤기치가 지속적으 로 감소하는 경향을 나타냈다.
저장온도별 저장기간에 따른 품종간 신속점도계에 의한 호화점도 특성의 변화를 조사한 결과는 Table 5와 같다. 밥 의 호화특성은 저온저장에 비해 상온저장에서 그 변이폭이 컸으며 저장기간이 길어질수록 저장전보다 최종점도(peak viscosity), 강하점도(breakdown) 및 치반점도(setback)의 변 이폭이 품종간 뚜렷한 차이를 보였다. 상온저장에서 신동 진, 호품, 히또메보레 품종은 일미와 추청에 비해 저장기간 이 길어질수록 저장전보다 최고점도가 유의하게 높게 나타 났고 저온저장의 경우에도 다소 높아지는 경향이었다. 강하 점도 또한 상온저장시 저장전보다 저장기간이 길어질수록 높아졌으며 특히 신동진 및 호품의 경우 각각 저장전 72, 55 RVU에서 상온저장 16개월 후에는 약 150 RVU로 강하 점도가 상당히 높아졌으나 저온저장에서는 그 변이 폭이 작 았다. 추청과 일미, 호품, 신동진, 히또메보레 순으로 저장 온도와 큰 상관없이 저장전보다 저장기간이 길어질수록 치 반점도는 낮게 나타났다(Table 6). 대부분의 보고에 따르면 저장기간이 길어질수록 최종점도 및 치반점도는 높아지고 강하점도는 낮아진다고 하였는데(Shin et al., 1991; Zhou et al., 2003a; Soponronnarit et al., 2008; Park et al., 2012; Kanlayakrit & Maweang, 2013) 본 실험에서는 저장기간이 길어질수록 강하점도는 높아지고 치반점도는 낮아지는 경 향으로 반대의 결과를 보였으나 저장 3개월 후에 최고점도 및 최종점도가 증가하였다는 Perdon et al. (1997)의 보고와 는 같은 결과를 얻었다. 또한 분석 시점에서 품종 간 비교하 면 밥맛이 좋은 품종이 강하점도가 높고 치반점도가 낮은 경향을 나타내어 밥의 호화점도 특성과 밥맛에 관여하는 요 인과도 깊은 연관성이 있을 것이라 생각되며 좀 더 세밀한 검토가 필요할 것이다.
Table 5.
Changes of pasting properties of milled rice among varieties of rough rice stored at different temperatures and periods.
| Pasting propertiesz | Variety | Storage temperaturey | Storage period(months) |
|---|
|
|---|
| 0 | 4 | 8 | 12 | 16 |
|---|
|
|---|
| Peak viscosity | Sindongjin | ATC | 187±5.3b(3) | 182±5.5d(3) | 286±4.7a(1) | 294±7.4a(1) | 271±11.4a(2) |
| LTC | 187±5.3b(4) | 206±0.9v(3) | 239±5.6w(2) | 266±1.8w(1) | 270±3.7vw(1) |
|
| Ilmi | ATC | 180±4.9c(5) | 204±2.8b(4) | 262±5.5b(1) | 254±0.9b(2) | 244±2.5c(3) |
| LTC | 180±4.9c(4) | 182±6.0x(4) | 225±2.2x(3) | 255±1.4x(1) | 243±4.3x(2) |
|
| Chucheong | ATC | 175±1.7d(2) | 192±5.9c(2) | 259±1.8b(1) | 264±16.2b(1) | 256±8.4bc(1) |
| LTC | 175±1.7d(4) | 178±6.7x(4) | 210±10.8y(3) | 244±2.4y(2) | 265±3.4w(1) |
|
| Hopum | ATC | 176±2.4cd(4) | 206±3.3b(3) | 285±4.8a(1) | 290±5.2a(1) | 267±3.7ab(2) |
| LTC | 176±2.4cd(5) | 191±2.8w(4) | 234±3.1wx(3) | 284±1.4v(1) | 260±8.6w(2) |
|
| Hitomebore | ATC | 195±1.0a(4) | 218±2.2a(3) | 294±7.4a(1) | 301±3.0a(1) | 274±3.9a(2) |
| LTC | 195±1.0a(3) | 198±2.6vw(3) | 250±3.5v(2) | 287±8.2v(1) | 283±10.6v(1) |
|
| Breakdown | Sindongjin | ATC | 72±2.9a(2) | 67±8.4b(2) | 143±0.5a(1) | 148±1.0a(1) | 153±13.9a(1) |
| LTC | 72±2.9a(5) | 83±3.1v(4) | 106±4.0v(3) | 120±3.0v(2) | 147±1.1v(1) |
|
| Ilmi | ATC | 61±3.3b(4) | 87±3.5a(3) | 116±5.4c(2) | 123±3.8b(2) | 135±4.5a(1) |
| LTC | 61±3.3b(3) | 68±5.5wx(3) | 93±5.7v(2) | 106±3.0w(1) | 107±5.0x(1) |
|
| Chucheong | ATC | 53±2.6c(4) | 70±5.4b(3) | 123±5.7bc(2) | 126±12.9b(12) | 137±4.8a(1) |
| LTC | 53±2.6c(5) | 66±3.7y(4) | 90±6.4v(3) | 105±2.4w(2) | 140±3.5w(1) |
|
| Hopum | ATC | 55±3.3c(5) | 74±4.5b(4) | 122±9.9bc(3) | 137±4.8ab(2) | 151±8.6a(1) |
| LTC | 55±3.3c(5) | 70±6.6wx(4) | 91±8.3v(3) | 105±8.2w(2) | 135±2.7w(1) |
|
| Hitomebore | ATC | 69±2.4a(4) | 87±4.2a(3) | 131±7.5ab(2) | 146±6.7a(1) | 137±4.4a(12) |
| LTC | 69±2.4a(5) | 77±1.8vw(4) | 100±3.2v(3) | 119±3.1v(2) | 151±4.0v(1) |
|
| Setback | Sindongjin | ATC | 13.9±2.80c(2) | 26.7±5.4a(1) | -44.2±1.02c(3) | -48.7±1.19b(34) | -58±14.92a(4) |
| LTC | 13.9±2.80c(1) | 7.4±2.56wx(2) | -16.5±2.56x(3) | -25.1±2.82x(4) | -53.1±2.18y(5) |
|
| Ilmi | ATC | 25.1±1.32b(1) | 3.3±2.40b(2) | -11.4±4.89a(3) | -20.3±3.71a(4) | -38.7±5.88a(5) |
| LTC | 25.1±1.32b(1) | 21.9±3.19v(1) | -1.0±2.99w(2) | -3.9±3.21vw(2) | -6.1±3.73v(2) |
|
| Chucheong | ATC | 35.9±1.71a(1) | 20.6±3.60a(1) | -14.3±5.95a(2) | -15.9±8.85a(3) | -30.9±8.50a(4) |
| LTC | 35.9±1.71a(1) | 28.6±0.63v(1) | 8.9±4.05v(2) | 0.7±2.03v(2) | -29.7±6.48w(3) |
|
| Hopum | ATC | 22.3±4.38b(1) | 10.9±4.25b(1) | -26.1±8.16b(2) | -40.9±5.19b(3) | -58.2±10.22a(4) |
| LTC | 22.3±4.38b(1) | 11.2±6.87w(2) | -8.0±6.07w(3) | -10.4±5.47w(3) | -42.2±4.42x(4) |
|
| Hitomebore | ATC | 7.7±1.70d(1) | -5.9±3.94c(2) | -36.2±5.48bc(3) | -49.7±6.11b(4) | -42.6±7.22a(34) |
| LTC | 7.7±1.70d(1) | 2.2±0.91x(2) | -17.6±1.32x(3) | -24.5±2.68x(4) | -59±2.61y(5) |
Table 6.
Changes of fatty acid compositions of brown rice among varieties of rough rice according to storage periods at different storage temperatures.
| Fatty acid composition | Variety | Storage temperaturez | Storage period(months) |
|---|
|
|---|
| 0 | 4 | 8 | 12 | 16 |
|---|
|
|---|
14:0 (Myristic acid) | Sindongjin | ATC | - | - | 0.72±0.009(1) | 0.67±0.009(12) | 0.64±0.032a(2) |
| LTC | - | - | 0.67±0.067w(1) | 0.69±0.006v(1) | 0.66±0.006w(1) |
|
| Ilmi | ATC | - | - | 0.49±0.016d(1) | 0.47±0.014d(1) | 0.41±0.010c(2) |
| LTC | - | - | 0.46±0.009x(1) | 0.45±0.006x(1) | 0.42±0.017y(2) |
|
| Chucheong | ATC | - | - | 0.48±0.014d(1) | 0.47±0.013d(1) | 0.42±0.015c(2) |
| LTC | - | - | 0.47±0.012x(1) | 0.47±0.005x(1) | 0.43±0.000y(2) |
|
| Hopum | ATC | - | - | 0.81±0.066a(1) | 0.74±0.012a(12) | 0.66±0.025a(2) |
| LTC | - | - | 0.75±0.013v(1) | 0.71±0.032v(1) | 0.68±0.017v(1) |
|
| Hitomebore | ATC | - | - | 0.65±0.014c(1) | 0.62±0.041c(1) | 0.56±0.006(1) |
| LTC | - | - | 0.62±0.009w(1) | 0.60±0.016w(1) | 0.57±0.006x(2) |
|
16:0 (Palmitic acid) | Sindongjin | ATC | 20.0±0.17a(23) | 20.9±0.76a(1) | 20.1±0.02c(12) | 19.9±0.00(23) | 19.3±0.33c(3) |
| LTC | 20.0±0.17a(1) | 20.0±0.08v(1) | 20.0±0.17w(1) | 20.0±0.07w(1) | 19.8±0.11w(1) |
|
| Ilmi | ATC | 18.9±0.41a(4) | 21.1±0.18a(1) | 20.7±0.38bc(12) | 20.3±0.03a(2) | 19.6±0.08bc(3) |
| LTC | 18.9±0.41a(3) | 20.4±0.15v(12) | 20.1±0.12w(2) | 20.6±0.07v(1) | 20.0±0.10w(2) |
|
| Chucheong | ATC | 19.7±0.53a(4) | 21.1±0.09a(1) | 20.9±0.04ab(12) | 20.5±0.19a(23) | 20.1±0.32a(34) |
| LTC | 19.7±0.53a(1) | 21.1±0.89v(1) | 20.7±0.10v(1) | 20.8±0.14v(1) | 20.4±0.10v(1) |
|
| Hopum | ATC | 20.5±0.45a(23) | 20.9±0.24a(12) | 21.4±0.66a(1) | 20.4±0.10a(23) | 19.8±0.12ab(3) |
| LTC | 20.5±0.45a(1) | 20.3±0.25v(1) | 20.7±0.09v(1) | 20.7±0.21v(1) | 20.4±0.12v(1) |
|
| Hitomebore | ATC | 20.8±1.23a(1) | 21.0±0.06a(1) | 21.0±0.15ab(1) | 20.4±0.33a(1) | 19.8±0.07ab(1) |
| LTC | 20.8±1.23a(1) | 20.5±0.09v(1) | 20.7±0.12v(1) | 20.8±0.11v(1) | 20.3±0.08v(1) |
|
18:0 (Stearic acid) | Sindongjin | ATC | 1.59±0.176a(1) | 1.55±0.070bc(1) | 1.66±0.013(1) | 1.64±0.008(1) | 1.63±0.029c(1) |
| LTC | 1.59±0.176a(1) | 1.67±0.041xy(1) | 1.71±0.121w(1) | 1.64±0.005w(1) | 1.63±0.006wx(1) |
|
| Ilmi | ATC | 1.52±0.339a(1) | 1.50±0.006c(1) | 1.62±0.006c(1) | 1.60±0.005d(1) | 1.60±0.006c(1) |
| LTC | 1.52±0.339a(1) | 1.63±0.021y(1) | 1.62±0.025w(1) | 1.62±0.007x(1) | 1.58±0.026y(1) |
|
| Chucheong | ATC | 1.14±0.328a(2) | 1.59±0.032(1) | 1.65±0.002(1) | 1.63±0.010bc(1) | 1.69±0.015(1) |
| LTC | 1.14±0.328a(2) | 1.76±0.015w(1) | 1.66±0.016w(1) | 1.64±0.006w(1) | 1.65±0.025w(1) |
|
| Hopum | ATC | 1.44±0.163a(1) | 1.56±0.038bc(1) | 1.62±0.021c(1) | 1.61±0.017cd(1) | 1.61±0.006c(1) |
| LTC | 1.44±0.163a(2) | 1.70±0.025x(1) | 1.62±0.005w(1) | 1.62±0.010x(1) | 1.62±0.012x(1) |
|
| Hitomebore | ATC | 1.51±0.392a(1) | 1.78±0.014a(1) | 1.85±0.009a(1) | 1.84±0.012a(1) | 1.88±0.049a(1) |
| LTC | 1.51±0.392a(1) | 1.90±0.047v(1) | 1.87±0.013v(1) | 1.82±0.004v(1) | 1.87±0.012v(1) |
|
18:1 (Oleic acid) | Sindongjin | ATC | 39.3±0.40(1) | 36.4±1.17c(2) | 38.1±0.03bc(1) | 38.4±0.06c(1) | 38.3±0.28d(1) |
| LTC | 39.3±0.40(1) | 38.4±0.49v(2) | 38.5±0.60w(2) | 38.3±0.06y(2) | 37.9±0.11x(2) |
|
| Ilmi | ATC | 41.3±0.66a(1) | 37.4±0.24ab(3) | 39.4±0.40a(2) | 39.6±0.09a(2) | 39.8±0.02a(2) |
| LTC | 41.3±0.66a(1) | 39.6±0.38v(2) | 39.9±0.16v(2) | 39.6±0.09v(2) | 39.4±0.17v(2) |
|
| Chucheong | ATC | 41.0±1.09a(1) | 36.6±0.35bc(3) | 37.7±0.09c(2) | 38.0±0.20d(2) | 38.0±0.09d(2) |
| LTC | 41.0±1.09a(1) | 38.3±0.95v(2) | 37.8±0.03x(2) | 37.9±0.09z(2) | 37.7±0.08x(2) |
|
| Hopum | ATC | 39.7±0.83ab(1) | 37.6±0.47a(3) | 38.4±0.51(23) | 39.1±0.06(12) | 39.0±0.11(12) |
| LTC | 39.7±0.83ab(1) | 39.4±0.33v(1) | 38.9±0.23w(1) | 38.9±0.22w(1) | 38.7±0.17w(1) |
|
| Hitomebore | ATC | 38.4±0.97(1) | 37.4±0.21ab(1) | 38.5±0.22(1) | 38.9±0.44(1) | 38.8±0.06c(1) |
| LTC | 38.4±0.97(1) | 38.8±0.85v(1) | 38.8±0.13w(1) | 38.5±0.18x(1) | 38.6±0.03w(1) |
|
18:2 (Linoleic aicd) | Sindongjin | ATC | 38.2±0.25a(1) | 37.9±0.66a(1) | 37.7±0.04a(1) | 37.7±0.05a(1) | 37.5±0.10a(1) |
| LTC | 38.2±0.25a(1) | 37.2±0.23vw(1) | 37.4±0.89v(1) | 37.6±0.09v(1) | 37.3±0.02v(1) |
|
| Ilmi | ATC | 36.7±0.51a(12) | 36.9±0.04(1) | 36.2±0.04(3) | 36.4±0.04(23) | 36.0±0.06c(3) |
| LTC | 36.7±0.51a(1) | 36.6±0.40x(1) | 36.3±0.06w(1) | 36.1±0.06x(1) | 36.1±0.26w(1) |
|
| Chucheong | ATC | 37.2±0.63a(1) | 37.7±0.30a(1) | 37.6±0.03a(1) | 37.8±0.11a(1) | 37.1±0.22(1) |
| LTC | 37.2±0.63a(1) | 37.5±0.11v(1) | 37.6±0.12v(1) | 37.6±0.12v(1) | 37.2±0.02v(1) |
|
| Hopum | ATC | 37.0±0.12a(1) | 36.4±0.30c(2) | 36.0±0.26(2) | 36.4±0.12(2) | 36.1±0.03c(2) |
| LTC | 37.0±0.12a(1) | 36.4±0.12x(2) | 36.2±0.14w(2) | 36.3±0.08wx(2) | 35.8±0.08wx(3) |
|
| Hitomebore | ATC | 36.7±1.49a(1) | 36.2±0.17c(1) | 36.2±0.08(1) | 36.4±0.09(1) | 36.0±0.12c(1) |
| LTC | 36.7±1.49a(1) | 36.7±0.48wx(1) | 36.3±0.05w(1) | 36.4±0.09w(1) | 35.7±0.09x(1) |
|
18:3 (Linoleinic acid) | Sindongjin | ATC | 0.87±0.214(2) | 1.20±0.046c(1) | 1.16±0.012c(1) | 1.15±0.007d(1) | 1.15±0.012d(1) |
| LTC | 0.87±0.214(2) | 1.14±0.008v(1) | 1.22±0.063(1) | 1.16±0.010y(1) | 1.14±0.015y(1) |
|
| Ilmi | ATC | 0.96±0.025(1) | 1.24±0.005(2) | 1.15±0.011c(34) | 1.17±0.007c(3) | 1.14±0.000d(4) |
| LTC | 0.96±0.025(1) | 0.92±0.424v(2) | 1.17±0.009x(2) | 1.16±0.008y(2) | 1.16±0.021xy(2) |
|
| Chucheong | ATC | 0.96±0.197ab(1) | 1.24±0.029(2) | 1.20±0.007(2) | 1.21±0.013c(2) | 1.17±0.015c(2) |
| LTC | 0.96±0.197ab(1) | 1.18±0.006v(1) | 1.20±0.010x(1) | 1.20±0.012x(1) | 1.19±0.000x(1) |
|
| Hopum | ATC | 1.35±0.412ab(1) | 1.31±0.025a(1) | 1.22±0.024(1) | 1.23±0.012(1) | 1.22±0.006(1) |
| LTC | 1.35±0.412ab(1) | 1.26±0.015v(1) | 1.26±0.001vw(1) | 1.25±0.005w(1) | 1.22±0.012w(1) |
|
| Hitomebore | ATC | 2.01±0.593a(1) | 1.30±0.017a(2) | 1.29±0.003a(2) | 1.30±0.008a(2) | 1.26±0.006a(2) |
| LTC | 2.01±0.593a(1) | 1.28±0.005v(2) | 1.29±0.004v(2) | 1.29±0.003v(2) | 1.26±0.006v(2) |
현미 및 백미의 지방산도 및 지방산 조성의 변화
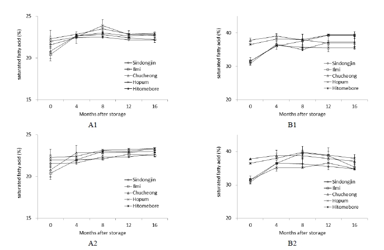
현미의 지방산도는 저온저장보다 상온저장의 경우에 저 장전과 비교하여 저장기간이 길어질수록 그 증가폭이 컸고 상온저장, 저온저장 모두 신동진, 호품 품종이 추청, 일미 및 히또메보레 품종에 비해 높은 경향을 나타냈다(Fig. 2). 이는 현미의 지방산도는 보통 저장온도가 높을수록, 저장기 간이 길어질수록 높아진다는 Kim et al. (2007), Ha et al. (2006)의 결과와 같은 경향을 나타냈다. 현미의 지방산도는 저장기간이 길어질수록 품종 간 큰 차이를 보였으며 일미 품종의 경우 백미의 지방산도는 저장전에 비해 다른 품종들 보다 높게 유지되었다(Fig. 2). 같은 무게비율로 도정을 하 더라도 도정 후 낱알마다 덜 깎인 미강층의 비율이 지방산 도 값에 더 크게 영향을 주기 때문에 저장 중 수분관리 및 도정할 때 주의를 기울여야 한다. 각각의 지방산 조성 중 현 미의 oleic acid와 백미의 linoleic acid를 제외한 모든 지방 산은 저장온도에 따라 유의한 차이는 나타나지 않았으나 품 종 및 저장기간에 따라 유의한 차이를 나타냈고 품종 및 저 장기간에 의한 상호작용 효과가 나타났다. 또한 현미 및 백 미의 포화지방산 함량의 경우에도 저장온도에 따라 유의한 차이는 없었으나 품종 및 저장기간에 따라 유의한 차이를 보였으며 품종 및 저장기간의 상호작용 효과도 인정되었다 (Table 3). 따라서 저장기간에 따른 지방산 조성의 변화를 품종 간 차이만으로 표현하기는 어렵지만 저장기간이 길어 질수록 품종에 따라 다른 경향을 나타냈다. 일미와 추청은 저장 전 현미의 지방산 중 포화지방산 함량이 각각 20.4% 및 20.8%로 낮았으나 저장기간이 경과할수록 다른 품종과 비슷한 수준으로 높아지는 경향이었다. 반면 신동진, 일미 및 히또메보레의 경우는 그 함량이 각각 21.6%, 22.0% 및 22.3%였고 저장기간이 경과하더라도 저장전과 비슷한 함 량을 유지하였다(Fig. 3. A1, 2). 또한 저장 전 백미의 포화 지방산 함량은 추청과 히또메보레가 각각 37.8% 및 36.5% 로 다른 품종에 비해 높았고 저장기간이 경과하더라도 상온 저장 및 저온저장 모두 저장 전과 비슷한 함량을 유지하였 다. 그러나 신동진, 일미 및 호품의 경우는 저장 전 포화지 방산의 함량이 각각 30.9%, 31.5% 및 31.6%였고 저장기간 이 경과할수록 그 함량의 변화가 컸다(Fig. 3. B1, 2). 현미 의 저장 전 지방산 조성은 5품종을 평균하면 oleic acid의 함량이 40.0%로 가장 많았고 linoleic acid, palmitic acid의 함량은 각각 37.1%, 20.0%였고 백미의 저장 전 지방산 조 성은 linoleic acid, palmitic acid, oleic acid 함량이 각각 34.7%, 30.1% 및 28.1%로(Table 6, 7) Kim et al. (1996)의 보고와는 다소 차이가 있었으나 백미 지방산의 경우 Zhou et al. (2003b)과는 같은 결과를 나타냈다. 현미 및 백미의 지방산 조성의 품종, 저장온도 및 저장기간에 따른 분석결 과는 Table 6, 7에서 보는 바와 같다. 현미의 지방산 중 oleic acid와 linoleic acid의 함량은 저장 전부터 품종간 차 이를 나타냈고 그 외의 지방산 함량의 변화는 저장 4개월 후 부터 품종 간 차이가 나타났다. 현미의 oleic acid는 히또메 보레와 신동진을 제외한 다른 품종들은 저장기간이 경과할 수록 감소하는 경향이었고 linoleic acid는 호품의 경우에만 저장기간이 경과할수록 감소하는 경향을 나타냈다(Table 6). 백미의 지방산은 모든 지방산이 저장 전에 품종 간 차이를 보였고 저장기간이 경과할수록 품종 간 지방산 함량의 차이 는 현저히 달라졌다. 특히 백미의 지방산 중 linoleinic acid 와 stearic acid의 경우 검출된 함량은 적으나 저장 4개월 후 에 그 함량이 현저히 감소하였고 palmitic acid는 저장기간 이 경과할수록 증가하는 경향을 보였다(Table 7). 현미와 백 미 형태로 7개월간 저장한 재료를 이용하여 지방산 조성을 분석한 결과 현미의 지방산 조성 중 oleic acid와 linoleic acid 함량이, 백미의 지방산 중에서는 linoleic acid 함량이 4°C 저온보다 37.°C 고온에서 감소하였다는 Zhou et al. (2003b)의 보고와 유사한 결과를 보였다. 각각의 지방산 조성의 변화 와 밥의 호화특성과는 유의한 상관성을 나타내지 않았으나 저장기간에 따른 지방산 조성의 변화에 따른 포화지방산 함 량과 밥의 호화특성과는 고도로 유의한 상관성을 나타내고 있으므로(Table 2) 저장 중 지방산 조성의 변화는 저장 중 미질 및 밥맛의 변화에 영향을 미칠 것으로 생각된다.

Fig. 2.
Changes of fat acidity of brown rice and milled rice among varieties of rough rice stored at different temperatures and periods. A; brown rice (A1; stored at ambient temperature, A2; stored at low temperature (15°C)).

Fig. 3.
Changes of saturated fatty acid of milled rice among varieties of rough rice stored at different temperatures and periods. A; brown rice(A1; stored at ambient temperature, A2; stored at low temperature(15°C)), B; milled rice(B1; stored at ambient temperature, B2; stored at low temperature(15°C)).
Table 7.
Changes of fatty acid compositions of milled rice among varieties of rough rice according to storage periods at different storage temperatures.
Fatty acid composition | Variety | Storage temperaturez | Storage period(months) |
|---|
|
|---|
| 0 | 4 | 8 | 12 | 16 |
|---|
|
|---|
14:0 (Myristic acid) | Sindongjin | ATC | - | 2.16±0.187a(1) | 2.21±0.014a(1) | 2.40±0.292a(1) | 2.25±0.195a(1) |
| LTC | - | 2.33±0.184v(12) | 2.41±0.119v(1) | 2.11±0.150v(23) | 1.88±0.038v(3) |
|
| Ilmi | ATC | - | 1.18±0.109d(2) | 1.59±0.130c(1) | 1.64±0.005c(1) | 1.65±0.038c(1) |
| LTC | - | 1.38±0.084x(23) | 1.64±0.161x(1) | 1.47±0.008w(12) | 1.20±0.072y(3) |
|
| Chucheong | ATC | - | 1.52±0.041c(1) | 1.62±0.143c(1) | 1.49±0.075c(1) | 1.42±0.117d(1) |
| LTC | - | 1.60±0.035x(1) | 1.68±0.016x(1) | 1.47±0.084w(2) | 1.33±0.046x(3) |
|
| Hopum | ATC | - | 1.97±0.172ab(1) | 2.10±0.047ab(1) | 2.05±0.094b(1) | 2.02±0.045b(1) |
| LTC | - | 2.00±0.141w(1) | 2.09±0.055w(1) | 1.91±0.136v(1) | 1.74±0.030w(1) |
|
| Hitomebore | ATC | - | 1.83±0.115b(2) | 2.00±0.040b(2) | 2.18±0.075ab(1) | 1.93±0.131b(2) |
| LTC | - | 2.11±0.104vw(12) | 2.33±0.113v(1) | 1.91±0.192v(23) | 1.83±0.085v(3) |
|
16:0 (Palmitic acid) | Sindongjin | ATC | 28.0±0.63c(3) | 32.8±0.32b(12) | 31.1±0.27c(2) | 33.2±2.08bc(1) | 31.2±0.73c(2) |
| LTC | 28.0±0.63c(2) | 32.6±1.75v(1) | 32.3±1.30w(1) | 31.7±0.90v(1) | 30.5±0.35w(1) |
|
| Ilmi | ATC | 28.5±0.58c(4) | 33.1±0.23b(3) | 34.0±1.88ab(23) | 35.7±0.06a(12) | 36.0±0.11a(1) |
| LTC | 28.5±0.58c(4) | 33.4±1.51v(23) | 36.2±1.93v(1) | 35.2±0.38v(12) | 31.7±0.85w(3) |
|
| Chucheong | ATC | 33.5±0.24a(1) | 35.6±0.64a(1) | 34.3±1.46a(1) | 33.5±0.68abc(1) | 33.0±1.72bc(1) |
| LTC | 33.5±0.24a(1) | 35.2±1.33v(1) | 35.1±0.64v(1) | 34.4±1.13v(1) | 33.3±0.61v(1) |
|
| Hopum | ATC | 28.6±0.68c(2) | 32.7±1.31b(1) | 31.9±0.77bc(1) | 31.8±1.24c(1) | 31.7±0.19c(1) |
| LTC | 28.6±0.68c(3) | 31.5±1.12v(12) | 31.4±0.26w(12) | 32.8±1.32v(1) | 30.8±0.32w(2) |
|
| Hitomebore | ATC | 31.9±0.76b(3) | 34.2±1.20ab(12) | 34.1±0.17ab(12) | 35.2±0.30ab(1) | 33.7±0.85b(2) |
| LTC | 31.9±0.76b(2) | 35.2±0.35v(1) | 35.6±0.47v(1) | 35.0±2.03v(1) | 33.6±0.99v(12) |
|
18:0 (Stearic acid) | Sindongjin | ATC | 2.81±0.251b(1) | 1.63±0.145b(2) | 1.65±0.009d(2) | 1.70±0.023c(2) | 1.68±0.015c(2) |
| LTC | 2.81±0.251b(1) | 1.63±0.041v(2) | 1.63±0.011x(2) | 1.82±0.034x(2) | 1.83±0.020x(2) |
|
| Ilmi | ATC | 3.02±0.122b(1) | 1.82±0.137b(3) | 1.94±0.052ab(23) | 1.99±0.019a(2) | 2.03±0.006a(2) |
| LTC | 3.02±0.122b(1) | 1.81±0.041v(3) | 1.82±0.130vwx(3) | 2.09±0.011v(2) | 2.02±0.031w(2) |
|
| Chucheong | ATC | 4.35±0.833a(1) | 1.87±0.124b(2) | 2.01±0.039a(2) | 1.99±0.018a(2) | 1.95±0.055b(2) |
| LTC | 4.35±0.833a(1) | 2.05±0.218v(2) | 1.98±0.097v(2) | 2.06±0.020v(2) | 2.07±0.026v(2) |
|
| Hopum | ATC | 2.98±0.417b(1) | 1.66±0.055b(2) | 1.72±0.017c(2) | 1.75±0.008b(2) | 1.71±0.012c(2) |
| LTC | 2.98±0.417b(1) | 1.68±0.019v(2) | 1.69±0.021wx(2) | 1.88±0.038w(2) | 1.81±0.030x(2) |
|
| Hitomebore | ATC | 4.68±0.603a(1) | 2.16±0.106a(2) | 1.93±0.018b(2) | 1.98±0.017a(2) | 1.92±0.021b(2) |
| LTC | 4.68±0.603a(1) | 1.67±0.413v(2) | 1.85±0.096vw(2) | 2.07±0.007v(2) | 2.07±0.017v(2) |
|
18:1 (Oleic acid) | Sindongjin | ATC | 29.7±0.56a(1) | 26.2±0.53b(23) | 27.8±0.25ab(2) | 25.4±1.91b(3) | 27.6±0.87ab(2) |
| LTC | 29.7±0.56a(1) | 26.0±1.35w(2) | 26.8±0.93w(2) | 26.4±0.89vw(2) | 27.2±0.31w(2) |
|
| Ilmi | ATC | 30.4±1.03a(1) | 27.5±0.24ab(2) | 26.7±1.79b(23) | 25.3±0.07b(3) | 25.2±0.14c(3) |
| LTC | 30.4±1.03a(1) | 27.2±1.14vw(23) | 25.7±1.46wx(3) | 25.5±0.13vw(3) | 28.0±0.69vw(2) |
|
| Chucheong | ATC | 23.3±0.68c(1) | 22.9±0.82c(1) | 24.3±1.42c(1) | 25.0±0.47b(1) | 25.6±1.39c(1) |
| LTC | 23.3±0.68c(1) | 23.6±0.82x(12) | 24.2±0.46y(12) | 24.0±0.84w(12) | 24.8±0.40y(1) |
|
| Hopum | ATC | 30.9±0.74a(1) | 28.1±1.16a(1) | 29.2±0.46a(1) | 28.7±1.03a(1) | 28.8±0.82a(1) |
| LTC | 30.9±0.74a(1) | 29.0±1.46v(123) | 29.9±0.26v(12) | 27.7±1.33v(3) | 28.6±0.30v(23) |
|
| Hitomebore | ATC | 26.0±0.73b(1) | 26.0±0.90b(1) | 26.2±0.27bc(1) | 24.9±0.28b(1) | 26.4±0.81bc(1) |
| LTC | 26.0±0.73b(1) | 25.6±1.07wx(1) | 25.0±0.43xy(1) | 25.0±1.66w(1) | 25.8±0.72x(1) |
|
18:2 (Linoleic aicd) | Sindongjin | ATC | 37.0±0.20a(1) | 36.1±0.38b(2) | 35.9±0.12b(2) | 36.1±0.41b(2) | 35.2±0.28b(3) |
| LTC | 37.0±0.20a(1) | 36.4±0.55v(1) | 35.6±0.47v(2) | 36.8±0.11v(1) | 36.6±0.02v(1) |
|
| Ilmi | ATC | 34.4±0.54b(12) | 35.1±0.37c(1) | 34.7±0.35c(12) | 34.2±0.13c(2) | 33.4±0.15c(3) |
| LTC | 34.4±0.54b(1) | 35.2±0.32w(1) | 33.2±0.87w(2) | 34.6±0.24w(1) | 35.1±0.27w(1) |
|
| Chucheong | ATC | 33.9±1.06bc(2) | 37.1±0.30a(1) | 36.6±0.25a(1) | 36.8±0.31a(1) | 36.1±0.45a(1) |
| LTC | 33.9±1.06bc(2) | 36.4±0.26v(1) | 35.8±0.31v(1) | 36.9±0.36v(1) | 36.6±0.25v(1) |
|
| Hopum | ATC | 34.9±0.25b(1) | 34.3±0.33d(12) | 33.8±0.25d(2) | 34.3±0.26c(12) | 33.7±0.62c(2) |
| LTC | 34.9±0.25b(1) | 34.6±0.27w(12) | 33.6±0.11w(3) | 34.4±0.07w(2) | 34.9±0.03w(1) |
|
| Hitomebore | ATC | 33.0±0.30c(3) | 34.7±0.36cd(1) | 34.4±0.19c(12) | 34.5±0.24c(1) | 33.9±0.14c(2) |
| LTC | 33.0±0.30c(2) | 35.1±0.32w(1) | 33.6±0.35w(2) | 34.7±0.54w(1) | 34.6±0.31w(1) |
|
18:3 (Linoleinic acid) | Sindongjin | ATC | 2.42±0.149c(1) | 0.85±0.052c(2) | 0.86±0.036cd(2) | 0.87±0.013c(2) | 0.91±0.000d(2) |
| LTC | 2.42±0.149c(1) | 0.83±0.087v(2) | 0.86±0.103v(2) | 0.91±0.019x(2) | 0.92±0.006x(2) |
|
| Ilmi | ATC | 3.45±0.520bc(1) | 0.90±0.092bc(2) | 0.80±0.077b(2) | 0.85±0.011c(2) | 0.84±0.025e(2) |
| LTC | 3.45±0.520bc(1) | 0.76±0.137v(2) | 0.85±0.034v(2) | 0.85±0.012y(2) | 0.91±0.006x(2) |
|
| Chucheong | ATC | 5.02±1.142a(1) | 1.04±0.044a(2) | 0.99±0.024ab(2) | 0.99±0.012b(2) | 1.01±0.020b(2) |
| LTC | 5.02±1.142a(1) | 0.90±0.208v(2) | 0.89±0.050v(2) | 0.98±0.023w(2) | 0.98±0.010w(2) |
|
| Hopum | ATC | 2.63±0.136c(1) | 0.97±0.018abc(2) | 0.94±0.082bc(2) | 1.00±0.015b(2) | 0.97±0.029c(2) |
| LTC | 2.63±0.136c(1) | 1.02±0.036v(2) | 0.93±0.011v(2) | 0.98±0.009w(2) | 1.04±0.017v(2) |
|
| Hitomebore | ATC | 4.47±1.056ab(1) | 1.01±0.083ab(2) | 1.05±0.015a(2) | 1.06±0.013a(2) | 1.07±0.010a(2) |
| LTC | 4.47±1.056ab(1) | 0.98±0.101v(1) | 0.98±0.023v(1) | 1.05±0.025v(1) | 1.06±0.015v(1) |
적 요
벼 수확 후 지역브랜드로 유통되는 벼의 저장 중 저장온 도 및 저장기간에 따른 이화학적 특성, 지방산도 및 지방산 조성의 변화를 조사할 목적으로 신동진, 일미, 추청, 호품, 히또메보레 등 5품종을 저장온도를 달리하여 저장한 후 4 개월마다 밥의 조직감(texture), 알칼리붕괴도(ADV), 도요 윤기치, 밥의 호화특성, 지방산도 및 지방산 조성 등을 분석 한 결과를 요약하면 다음과 같다.
밥의 경도는 밥의 씹힘성과 고도로 유의한 정의 상관 관계를 나타냈고 밥의 부착성과는 부의 상관관계를 나 타냈으며 밥의 응집성은 밥의 탄력성과 정의 상관관계 를 나타냈다. 밥의 경도는 저장기간이 길어질수록 증 가하였고 밥의 응집성은 저장전과 비교해서 저장온도 및 저장기간에 따라 품종 간 뚜렷한 차이를 나타내지 않았다.
알칼리붕괴도는 품종 및 저장기간에 따라 다소 차이는 있으나 저장온도에 의한 영향은 미미하였다. 일미와 추청의 경우는 저장온도 및 저장기간에 따른 변화가 거의 없었으나 신동진, 호품 및 히또메보레의 경우는 상온저장의 경우 저장기간에 따라 통계적으로 유의한 차이는 나타나지 않은 반면 저온저장의 경우는 저장기 간이 길어질수록 ADV 값은 작아지는 경향을 보였다.
도요윤기치는 저장초기에는 품종 및 저장온도에 따라 품종간 차이는 크지 않았고 대체로 저장 후 4개월 이 후부터 상온 및 저온저장 모두 도요윤기치 값이 떨어 지는 경향이었다.
밥의 호화특성은 상온저장에서 최고점도의 경우 신동 진, 호품, 히또메보레 품종은 일미와 추청에 비해 저장 기간이 길어질수록 저장전보다 확연히 높게 나타났다. 강하점도 또한 상온저장시 저장전보다 저장기간이 길 어질수록 높아졌으며 치반점도는 저장온도와 큰 상관없 이 저장전보다 저장기간이 길어질수록 낮게 나타났다.
현미의 지방산도는 저온저장보다 상온저장의 경우에 저장전과 비교하여 저장기간이 길어질수록 그 증가폭 이 컸고 백미의 지방산도는 저장전과 비교하여 저장 8 개월 후부터는 지방산도가 낮아지는 경향을 나타냈다.
지방산 조성의 변화는 현미의 포화지방산 함량의 경우 저장 전에 비해 일미와 추청 품종은 저장기간이 경과 할수록 높아지는 경향이었으나 신동진, 일미 및 히또 메보레 품종의 경우는 저장기간이 경과하더라도 저장 전과 비슷한 함량을 유지하였다. 또한 백미의 포화지 방산 함량은 저장기간이 경과하더라도 상온저장 및 저 온저장 모두 저장 전과 비슷한 함량을 유지하였다. 현 미의 지방산 중 oleic acid와 linoleic acid의 함량은 저 장 전부터 품종간 차이를 나타냈고 그 외의 지방산 함 량의 변화는 저장 4개월 후부터 품종 간 차이가 나타 났다. 백미의 지방산 중 linoleinic acid와 stearic acid 의 경우 검출된 함량은 적으나 저장 4개월 후에 그 함 량이 현저히 감소하였고 palmitic acid는 저장기간이 경과할수록 증가하는 경향을 보였다.
사 사
본 논문은 농촌진흥청 연구사업(세부과제명: 남부지역 주 요 품종의 저장방법 및 기간에 따른 식미변이 분석, 세부과제 번호: PJ00868702 및 세부과제명: LOX-3 결핍 유전자좌 이입 자포니카 벼 근동질 계통 육성, 세부과제번호: PJ01025501)의 지원에 의해 이루어진 결과의 일부이며 연구사업 수행에 협 조해 주신 모든 분들에게 감사드립니다.
인용문헌(REFERENCES)
AOAC, 11th edition. Fat acidity 14. 164, 14. 066. Official methods of analysis of the association of official analytical chemists, 222 (1970)
YH Choi, EG Jeong, JI Choung, DS Kim, SL Kim, JT Kim, CG Lee and JR Son, Korean J. Crop Sci, Effects of Moisture Contents of Rough Rice and Storage Temperatures on Rice Grain Quality, 51(S); 12-20 (2006)
J Chrastil, Journal of Cereal Scienc, Chemical and Physicochemical Changes of Rice During Storage at Different Temperatures, 11; 71-85 (1990)
TC Elaine, LB Karen, TV Bryan, MM Anna and EB Franklin, Cereal Chem, Correlation Between Cooked Rice Texture and Rapid Visco Analyser Measurements, 76(5); 764-771 (1999)
KY Ha, HK Park, JK Ko, CK Kim, YG Choi, KY Kim and YD Kim, Korean J. Crop Sci, Effect of Storage Period and Temperature on the Characteristics Related with Rice Quality, 51(S); 25-29 (2006)
W Katekhong and S Charoenrein, As. J. Food Ag-Ind, Effect of Rice Storage on Pasting Properties, Swelling and Granular Morphology of Rice Flour, 5(4); 315-321 (2012)
W Kanlayakrit and M Maweang, International Food Research Journa, Postharvest of paddy and milled rice affected physicochemical properties using different storage conditions, 20(3); 1359-1366 (2013)
H Kim, HJ Lee, OW Kim, SE Lee and DH Yoon, Korean J. Food Preserv, Effect of Non-Uniform Milling on Quality of Milled Rice during Storage, 13(6); 675-680 (2006)
IH Kim, KH Park, MG Shin, HJ Kim and SH Lee, J. Korean Soc. Food Sci. Nutr, Comparison of Lipid composition of Rice Varieties with the Different Sensory Quality, 25(5); 727-734 (1996)
KS Kim, YH Lee, YS Jang and IH Choi, Korean J. Plant Res, Analysis of Fatty Acid Compositions and Biodiesel Properties of Seeds of Woody Oil Plants in Korea, 26(5); 628-635 (2013)
KY Kim, GM Lee, KI Noh, KY Ha, JY Son, BK Kim, JK Ko and CK Kim, Korean J. Crop Sci, Varietal Difference of Germination, Fat acidity and Lipoxygenase Activity of Rice Grain Stored at High Temperature, 52(1); 29-35 (2007)
TH Lee and HJ Joo, Journal of Rural Development, Efficacy analysis of Rice Processing Center (RPC) using Data Envelopment Analysis (DEA), 31(34); 53-72 (2008)
CE Park, YS Kim, KJ Park and BK Kim, Journal of Stored Products Research, Changes in physicochemical characteristics of rice during storage at different temperatures, 48; 25-29 (2012)
S Parnsakhorn and J Langkapin, Agric. Eng. Int: CIGR Journal, Changes in Physicochemical Characteristics of Germinated Brown Rice and Brown Rice during Storage at Various Temperature, 15(2); 293-303 (2013)
AA Perdon, BP Marks, TJ Siebenmorgen and NB Reid, Bengal. Cereal Chem, Effects of Rough Rice Storage Conditions on the Amylograph and Cooking Properties of Medium-Grain Rice cv, 74(6); 864-867 (1997)
N Ramarathnam, T Osawa, M Namiki and S Kawakishi, Journal of Food Sci, High Temperature Storage Effect on Longevity of Rice Seeds, 52(3); 835-836 (1987)
P Sirisoontaralak and A Noomhorm, Journal of Stored Products Researc, Changes in physicochemical and sensory-properties of irradiated rice during storage, 43; 282-289 (2007)
MG Shin, BK Min and DC Kim, J. Korean Soc. Food Nutr, Changes in Quality Characteristics of Brown Rice During Storage, 20(3); 276-280 (1991)
S Soponronnarit, M Chiawwet, S Prachayawarakorn, P Tungtrakul and C Taechapairoj, Journal of Food Engineerin, Comparative Study of Physicochemical Properties of Accelerated and Naturally Aged Rice, 85; 268-276 (2008)
K Tananuwong and Y Malila, Food Chemistr, Changes in Physicochemical Properties of Organic Hulled Rice during Storage under Different Conditions, 125; 179-185 (2011)
DH Yoon, OW Kim and H Kim, Korean J. Food Preserv, The Quality of Milled Rice with Reference to Whiteness and Packing Conditions during Storage, 14(1); 18-23 (2007)
H Yoshida, T Tanigawa, I Kuriyama, N Yshida, Y Tomiyama and Y Mizushina, Brans. Nutrients, Variation in Fatty Acid Distribution of Different Acyl Lipids in Rice (Oryza sativa L, 3; 505-514 (2011)
T Yoshihashi, NTT Huong, V Surojanametakul , P Tungtrakul and W Varanyanond, Journal of Food Science, Effect of Storage Conditions on 2-Acetyl-1-pyrroline Content in Aromatic Rice Variety, Khao Dawk Mali 105, 70(1); S34-S37 (2004)
Z Zhou, K Robards, S Helliwell and C Blanchard, Journal of Cereal Scienc, Ageing of Stored Rice: Changes in Chemical and Physical Attributes, 33; 1-15 (2001)
Z Zhou, K Robards, S Helliwell and C Blanchard, Food Research International, Effect of Rice Storage on Pasting Properties of Rice Flour, 36; 625-634 (003a)
Z Zhou, C Blanchard, S Helliwell and K Robards, Journal of Cereal Science, Fatty Acid Composition of Three Rice Varieties Following Storage, 37; 327-335 (003b)