억새(Miscanthus)는 화본과(Poacea)에 속하는 C4 식물로서 한국, 중국, 일본 및 동남아시아에 분포하는 대표적인 섬유 질계 바이오에너지작물 중의 하나이다(Atkinson, 2009; Greef et al., 1997; Lewandowski et al., 2000). 억새는 영년생 식 물로서 생산에 투입되는 에너지 대비 산출되는 에너지가 많 으며 질소 이용효율이 높아 무비재배가 가능하고 저온, 건 조 등의 열악환경 및 병해충에 대한 내성이 높다는 장점을 가지고 있다고 알려져 있다(Beale and Long, 1995). 그 중 국내 토종의 바이오에너지작물 ‘거대 1호’(Miscanthus saccharilforus cv. Geodae 1)는 물억새의 일종으로 생산량이 ha 당 최대 20~30톤이나 되어 유럽, 미국 등에서 바이오에탄올 생산용 으로 재배하고 있는 3배체 억새(M. × giganteus)와 비교하 여 유사하며, 습지에서도 생육이 양호하여, 바이오에너지 생 산용 원료로 국내 토종 억새 유전자원을 이용할 수 있다는 기대감이 커지고 있다(Moon et al., 2010).
국내 바이오에너지 산업의 발전과 확장을 위해서는 바이 오에너지 원료자원인 바이오매스를 대량 생산하는 것이 필 수적이다. 바이오에너지작물의 대규모 재배를 위해서는 재 배면적의 확대가 이루어져야 하나, 국내는 좁은 국토 면적 등의 제한요소를 갖고 있다. 이를 극복하기 위한 현실적인 방안으로 국내의 강 수변구역 및 간척지 등의 활용을 적극 적으로 검토 중에 있으며, 현재 금강하구의 웅포/용안지구 강변둔치의 184ha에 대규모 억새 재배단지를 조성되었다 (Kang et al., 2014).
우리나라는 삼면이 바다에 인접하고 있다는 장점을 이용 하여 좁은 국토면적을 극복하기 위한 간척사업을 활발히 진 행 중이다(Kang and Shim, 1998). 현재까지 국내 간척지의 면적은 135.1천ha로 준공면적은 90.7천ha이고 시행중인 면 적이 44.4천ha로 알려져 있다(Kim et al., 2013). 간척지는 과거 농업적인 측면에서 벼와 같은 식량을 생산하기 위하여 간척하였으나, 최근에는 부가가치를 향상시킬 수 있는 경관 작물, 사료작물 및 바이오에너지작물 등의 다양한 재배 요 구가 높아지고 있는 실정이다. 하지만 간척지 토양은 높은 치환성 나트륨 함량 및 염농도로 인하여 높은 토양 pH와 EC를 나타내며, 투수성이 불량하여 수직배수에 의한 제염 이 어렵다고 알려져 있다. 또한 작물의 수분 이용도 및 작물 생육에 필수 영양소인 유기물 및 유효인산 함량이 낮아 간 척지에서 작물의 정상적인 생육이 불리하다고 알려져 있다 (Lee et al., 2000; Ryu et al., 2010). 이러한 이유로 인하여 간척지를 재배용지로 활용하기 앞서 그에 적합한 작물의 선 정 및 재배, 관리적 기술 개발이 절실히 요구된다.
인천 서구 백석동에 위치한 수도권매립지는 총 4개의 매 립장과 1개의 시설공구로 이루어져 있으며, 매립이 이루어 지기 전의 매립지 일부는 유휴지 상태로 장기간 방치될 문 제가 있다. 이에 따라 토지 지력확보와 활용성을 높이기 위 하여 바이오에너지작물의 재배를 통한 바이오순환림 조성 이 계획되었다(An et al., 2011). 또한 수도권매립지에서 대 량 생산되는 하수슬러지 고화물을 경제적으로 처리하기 위 하여 매립예정 간척지의 토양개량제로서 재활용하는 방안 이 대두되고 있다. 대부분의 하수슬러지 고화물은 매립된 쓰레기의 노출을 방지하여 쓰레기의 비산 및 악취저감을 유 도하기 위한 일일복토재나 중간복토재로 이용하고 있는 것 이 일반적이다(Hyun and Kim, 2007; Lee et al., 2006; Yoo et al., 1999). 그 이외에 조경용 상토로서의 유기성슬러지 고화물의 활용방안이 보고된 바 있다(Kwak et al., 2005). 하 지만 하수슬러지 고화물을 처리한 간척지 토양에서 바이오 에너지작물의 재배 및 평가에 대한 연구는 미비한 실정이다.
본 연구는 대규모의 바이오순환림 조성에 앞서 하수슬러 지 고화물을 혼합 또는 복토 처리한 간척지 토양에서 적응 성이 높은 바이오에너지작물을 선발하기 위하여 거대 1호 등의 생육특성 조사를 수행하였다. 이와 같이 간척지 토양 에서 바이오에너지작물 억새를 다년간 지속적으로 재배한 것은 국내 최초이며, 또한 간척지 토양을 활용한 바이오에 너지 원료작물의 재배와 바이오매스 생산 가능성을 최초로 제시하였다.
재료 및 방법
시험포장 구성
본 연구의 시험포장은 인천광역시 서구 백석동에 위치한 수 도권매립지 제 3매립장 예정부지 북측지역(37°36´N, 126°33´E) 의 간척지 유휴지에 하수슬러지 고화물의 처리수준에 따라 제 1시험구부터 5시험구까지 총 5개의 시험구를 2010년 5 월에 조성하였다. 본 연구에 사용한 시험구는 제 3, 4, 5시 험구로 각 시험구별 면적은 50 m × 14 m이다. 제 3시험구 는 간척지 원지반토 표토에 하수슬러지 고화물을 50 cm 높 이로 성토 후 굴삭기로 혼합하여 하수슬러지 고화물을 50% 처리한 시험구(3시험구-MSS 50)이며, 제 4시험구는 간척지 원지반토 표토 위 50 cm 높이로 하수슬러지 고화물을 복토 한 시험구(4시험구-CSS 100)이다. 제 5시험구는 대조구로 서 하수슬러지 고화물을 처리하지 않고 간척지 원지반토를 20 cm 길이로 쟁기갈이 한 시험구(5시험구-ORS)이다.
시험 바이오에너지작물 재식
매립예정 간척지 토양 및 하수슬러지 고화물이 처리된 토 양에 적응성이 높은 에너지작물을 선발하기 위하여 5종의 시 험작물을 선정하였다. 그 중에서 거대 1호(M. sacchariflorus cv. Geodae 1)는 전남 무안에 위치한 국립식량과학원 바이 오에너지작물연구소에서 육묘되어 각 시험구에 재식하였다. 또 한 매립예정 간척지에서 자생하는 물억새(M. sacchariflorus) 2 종 및 갈대(Phragmites australis) 2종을 선발하여 지하경을 굴취 후 시험포장에 재식하였다. 각 시험구의 에너지작물은 난괴법 3반복으로 구성하였으며, 재식밀도는 100 cm × 50 cm 당 식물체 1개체를 재식하였다.
시기별 에너지작물 생육모니터링 및 수량성조사
각 시험구의 에너지작물의 생육조사는 억새 생육초기인 5월부터 생육말기인 11월까지 월 1회 실시하여 연간 총 7 회의 모니터링을 실시하였다. 생육 모니터링 및 생육조사는 각 식물체의 초장 및 경태 등의 생육조사를 5반복으로 2010 년부터 2014년까지 5년간 지속적으로 조사하였다. 각 에너 지작물의 마른줄기 수량(건물수량)을 조사하기 위하여 매년 억새의 생육말기인 11월경에는 단위면적 내의 시험작물을 수확하여 전남 무안에 위치한 국립식량과학원 바이오에너 지작물연구소로 운송 후 유리온실 내에서 1개월 정도 자연 건조 시킨 후 바이오매스량을 조사하였다.
각 시험구의 토양화학성 조사
각 시험구 에너지작물의 시기별 생육모니터링과 동시에 간 척지 토양에 하수슬러지 고화물을 처리함으로서 토양화학 성의 변이여부를 분석하기 위하여 토양시료를 채취하였다. 또한 바이오에너지작물연구소 내에서 재배 중인 거대 1호 의 근권토양에서 토양시료를 채취하였다. 토양시료는 각 시험 구에서 무작위로 5지점을 선정하여 지상으로부터 표토(0~20 cm)의 토양을 채취하였다. 토양시료는 풍건시킨 후 토양화학 성 분석을 위하여 2 mm sieve로 식물잔해 및 자갈 등을 걸러 내었다. 염농도(%)는 토양내의 전기전도도(Electrical Conductivity) 를 EC 측정기(EC110 meter, Spectrum Technologies, Inc., IL, USA)를 이용하여 현장에서 직접 토양 내에 전극을 꽂아 측 정하였다. 그 이외의 OM, T-N, 유효인산함량, 치환성 양이 온함량 등의 토양분석은 농촌진흥청 토양화학분석법에 준 하여 분석하였다(NIAST, 2000).
결과 및 고찰
각 시험구의 토양화학성 조사는 2010년부터 2014년까지 5년간 억새의 생육초기인 5월부터 생육말기인 11월까지 매 월 1회 조사하였다. Table 1은 각 시험구의 토양화학성 데 이터의 5년간 평균치를 나타내고 있다. 간척지 원지반토 (ORS)의 평균 pH와 EC는 8.4 및 6.01 dS m -1로서 하수슬 러지 고화물을 처리한 두 시험구(CSS 100, MSS 50)에 비 하여 높은 수치를 보였다. 하지만 유기물함량 및 전질소 함 량은 ORS에 비하여 하수슬러지 고화물을 처리한 시험구(CSS 100, MSS 50)에서 높은 것으로 나타났다. 이와 같은 결과 는 하수슬러지 고화물 처리로 인하여 유기물이 공급된 것으 로 판단된다. Wei and Liu (2005)에 의하면 하수슬러지 혼 합퇴비는 유기물, 질소 및 인산 등의 유용한 성분들을 포함 하고 있어 양분공급 및 토양 물리성 개량의 목적으로 사용 될 수 있다고 보고한 바 있으며, Song and Lee (2010) 역시 하수슬러지 혼합퇴비는 매립지와 같은 유휴지의 토양비옥 도를 향상시키는 유용한 토양복토재라고 평가하였다. 더 나 아가 하수슬러지 고화물을 처리한 두 시험구에서 치환성 나 트륨의 함량이 ORS에 비하여 감소한 요인으로는 하수슬러 지 고화물을 혼합 또는 복토처리로 인하여 표토층의 염류집 적을 저해한 것으로 예측된다.
Table 1.
Mean of soil chemical properties in each experimental plot for 5 years (2010-2014).
| Plot | pH (1:5) | EC (dS/m) | OM (g/kg) | T-N (%) | Av. P2O5 (mg/kg) | Exchangeable cation (cmol/kg) | |||
|---|---|---|---|---|---|---|---|---|---|
| K | Ca | Mg | Na | ||||||
| MSS 50 | 8.0 | 3.75 | 35.9 | 0.2 | 145 | 0.8 | 39.8 | 2.0 | 1.0 |
| CSS 100 | 8.0 | 4.19 | 70.3 | 0.5 | 45 | 0.9 | 71.2 | 2.2 | 1.4 |
| ORS | 8.4 | 6.01 | 9.5 | 0.0 | 68 | 0.8 | 4.3 | 4.3 | 4.8 |
| Dec. † | Dec. | Inc. | Inc. | Inc. | - | Inc. | Dec. | Dec. | |
각 시험구에서 5종의 에너지작물은 2010년부터 2012년 까지 3년간 재배하였으며 재배 3년째 조사한 결과는 Fig. 1 과 같다. 각 하수슬러지 고화물을 처리한 시험구(MSS 50, CSS 100) 및 원지반토(ORS)에서 가장 월등한 생육을 보이 는 에너지작물은 거대 1호 이었으며, 거대 1호가 다른 2종 의 바이오에너지작물(자생물억새 및 자생갈대)에 비하여 유 의적으로 생육이 우수한 것을 확인되었다. An et al. (2011a, 2012b)에 의해 보고된 재배 1년차 및 2년차의 연구결과에 서도 나타나듯이 거대 1호는 재배 3년차에도 다른 에너지 작물에 비하여 우수한 생육을 보였다. 그러나 원지반토에서 의 경우, 거대 1호를 제외하고 자생 물억새는 대부분이 고 사하거나 생육이 저조하였으며, 자생 갈대의 경우 시험용으 로 재식한 갈대보다 시험지 주변에 자생하는 갈대로부터 번 식한 개체가 많아 본 연구의 시험작물과 구분이 불가능하여 조사에서 제외되었다(Fig. 1c). 각 시험구별 및 에너지작물 별 작물 초장의 분산분석 결과 에너지작물의 초장은 하수슬 러지 고화물 처리 간(F=6.86, P=0.0013) 및 에너지작물 간 (F=63.87, P<0.0001)에 통계적으로 유의한 것으로 나타났 다(Table 2).

Fig. 1.
Plant height of bioenergy crops grown at the mixing with solidified sewage sludge plot (MSS 50), the covering with solidified sewage sludge plot (CSS 100), and the original reclaimed soil (ORS) for 2012. Black, gray, and light gray bars indicate Miscanthus sacchariflorus cv. Geodae 1, native M. sacchariflorus, and native Pharagmites australis, respectively (a, MSS 50; b, CSS 100; c, ORS). Means with same letter are not significantly different at p < 0.05.하수슬러지 고화물 처리토양 및 간척지 원지반토에서 가 장 우수한 적응력을 나타내는 거대 1호의 5년간 생육을 조 사한 결과는 Fig. 2와 같다. 하수슬러지 고화물을 처리한 시 험구(MSS 50, CSS 100)의 거대 1호의 생육은 5년간 지속 적으로 증가하는 경향이었다. 또한 하수슬러지 고화물 처리 구별로는 CSS 100에서의 거대 1호 초장이 가장 컸으며, MSS 50에서도 거의 비슷한 경향을 나타냈다. CSS 100의 거대 1호를 기준으로 초장 증가율은 정식 3년째(2012년)와 4년째(2013년)에 20.1%로 가장 컸으며, 정식 4년 이후로는 초 장의 증가율은 1.3%로 거의 일정한 것으로 나타났다. Fernando et al. (2008)에 의하여 보고된 Miscanthus × gigateus의 3년 간 생육과 최대 바이오매스 생산량 모델에서 매년 지속적으 로 생육량이 증가하며 3-5년 이상 바이오매스 생산 증가를 기대할 수 있다고 하였다. 반면 ORL에서의 거대 1호는 정 식 1년째(2010년)와 2년째(2011년)에는 생육이 저조하였으 나, 정식 3년째부터 생육이 호전되며 하수슬러지 고화물을 처리한 두 시험구의 거대 1호 생육량과 비슷한 수준으로 생 육하였다.

Fig. 2.
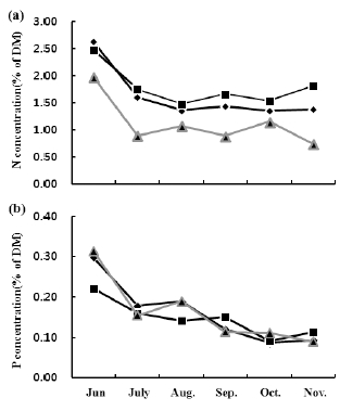
Plant height of Miscanthus sacchariflorus cv. Geodae 1 for 5 years (2010-2014). The marks of black diamond, dark gray square, and light gray triangle indicate the mixing with solidified sewage sludge plot (MSS 50), the covering with solidified sewage sludge plot (CSS 100), and the original reclaimed soil (ORS), respectively.각 토양 시험구에서 시기별 거대 1호 지상부의 무기양분 (N, P) 변이를 분석한 결과는 Fig. 3에서 보는 바와 같다. 각 시험구별로 거대 1호 지상부의 질소함량은 CSS 100 > MSS 50 > ORL의 순이었으며, 거대 1호 생육초기(6월경) 질소함량은 약 2.5%이었으며 시기가 지남에 따라 감소하는 경향을 나타냈다(Fig. 3c). 또한 인산함량의 경우, 생육초기 에는 0.3% 이었으며, 생육말기에는 약 0.1 %로 감소한 것 으로 나타났다(Fig. 3b). 위와 같은 결과는 생육기간에 축적 된 무기양분이 늦은 가을 식물체가 노화되어 탈엽 등이 진 행될 무렵 무기양분이 지상부에서 지하부로 이동하여 지하 경에 저장된다는 보고와 일치하였다(Christian et al. 2008). 본 연구결과, 거대 1호의 초장은 매년 8월 및 10월 사이에 최고점을 나타냈고, 그 이후 초장의 감소현상이 나타남과 동시에 질소와 인산의 무기양분이 감소하였다. 이는 억새의 생육말기인 가을 무렵에 무기양분의 이동으로 인하여 억새 최상부의 잎, 줄기 또는 억새줄기로부터 탈엽 등이 진행됨 으로서 나타나는 초장 감소현상의 주요 요인인 것으로 확인 되었으며, Clifton-Brown et al. (2001)과 Lewandowski et al. (2000)에 의하면 이 시기의 줄기부러짐 현상과 탈엽 등 으로 인한 바이오매스 손실은 총 바이오매스 생산량을 기준 으로 하였을 시에 약 10~30% 사이이며 수분과 무기영양분 의 감소가 동반된다고 알려져 있다.

Fig. 3.
Change of mineral nutrition content in shoot of Miscanthus sacchariflorus cv. Geodae 1 grown at each experimental plot. The marks of black diamond, dark gray square, and light gray triangle indicate the mixing with solidified sewage sludge plot (MSS 50), the covering with solidified sewage sludge plot (CSS 100), and the original reclaimed soil (ORS), respectively.각 시험구에서 재배한 거대 1호의 바이오매스 수량은 매 년 억새의 생육말기인 11월경에 단위면적당 일정량을 수확 하여 그 마른줄기수량을 조사하였다(Fig. 4). 바이오매스량 을 5년간 조사한 결과, 매년 지속적으로 바이오매스량이 증 가하고 있음을 알 수 있었다. 시험구별로는 정식 3년차까지 는 하수슬러지 고화물을 처리한 두 시험구간의 유의적 차이 가 없었으나, 정식 4, 5년차에는 CSS 100에서 바이오매스 량이 유의적으로 가장 많았으며, 그 다음으로는 MSS 50, ORS 순이었다. 특히, 정식 5년차에는 하수슬러지 고화물을 처리한 시험구에서 27.5~32.7 ton/ha의 거대 1호의 바이오 매스를 생산할 수 있음을 확인하였다. 더 나아가 간척지 원 지반토(ORS)에서의 거대 1호 바이오매스량도 매년 지속적 으로 증가하며 정식 5년차에는 18.9 ton/ha을 생산한 것으 로 조사되었다. 흥미롭게도 이러한 결과는 향후 바이오에너 지 원료의 대량생산을 위한 재배면적 확대측면에서 간척지 등을 활용하여 거대 1호를 재배할 시 약 15 ton/ha 이상의 바이오매스 생산 가능성이 있음을 시사한다.

Fig. 4.
Biomass of Miscanthus sacchariflorus cv. Geodae 1 for 5 years (2010-2014). Black, dark gray, and light gray bars indicate the mixing with solidified sewage sludge plot (MSS 50), the covering with solidified sewage sludge plot (CSS 100), and the original reclaimed soil (ORS), respectively. Means with same letter are not significantly different at p < 0.05.Table 2.
ANOVA results for the effects of plot and energy crop on stem height.
| Stem height (cm) | |||
|---|---|---|---|
| d.f. | F value | P value | |
| Plot | 2 | 6.86 | 0.0013** |
| Bioenergy crop | 4 | 63.87 | < 0.0001** |
하수슬러지 고화물을 처리한 시험구의 거대 1호 바이오 매스 생산량은 일반토양에서 재배한 것과 비교하여 월등히 많으나 다수의 문제점이 있는 것으로 나타났다. Table 3과 Fig. 5는 하수슬러지 고화물 처리 시험구(CSS 100), 간척지 원지반토(ORS) 및 바이오에너지작물연구소(Muan)에서 재 배한 거대 1호의 생육상을 비교한 결과이다. CSS 100에서 재배한 거대 1호의 경우 초장이 311.7 cm 이었으며 엽수는 평균 37.7개, 곁가지 발생수는 평균 4.7개로 나타났다(Table 3, Fig. 5a). 반면 ORS와 Muan에서 재배한 거대 1호의 초 장은 288.7 cm와 289.7 cm이었으며, 엽수는 평균 13.0개와 14.7개로 나타났으며, 곁가지의 발생은 없었다(Table 3, Fig. 5b, c). 이와 같이 CSS 100에서의 억새 지상부는 다른 두 곳에 비하여 과번무한 것으로 확인되었다. 또한 CSS 100과 Muan의 토양화학성을 비교한 결과, CSS 100의 토양 유기 물함량 및 전질소 함량이 3배 이상 많은 것으로 나타났으 며, 유효인산 함량은 5배 이상 낮은 것으로 나타났다(Table 4). 이러한 결과로부터 유휴간척지 토양에 과다한 하수슬러 지 고화물 처리는 억새재배에 있어서 비정상적인 생육을 초 래하며 바이오에너지 원료로서의 활용도를 저하시키는 것 으로 판단된다. 향후 매립예정 유휴간척지토양에서 에너지 작물 재배를 위하여 하수슬러지 고화물을 토양복토재로 이 용할 시에 적정 처리범위 및 배비관리에 대한 고려가 절실 히 요구될 것으로 사료된다.

Fig. 5.
Comparison of Miscanthus sacchariflorus cv. Geodae 1 grown at the covering with solidified sewage sludge plot (a, CSS 100), the original reclaimed soil (b, ORS), and Bioenergy Crop Research Institute, National Institute of Crop Science (c, Muan).Table 3.
Growth of the aboveground of Miscanthus sacchariflorus cv. Geodae 1 cultivated at the covering with solidified sewage sludge plot (CSS 100), the original reclaimed soil (ORS), and Bioenergy Crop Research Institute (Muan).
Table 4.
Mean of soil chemical properties in the covering with solidified sewage sludge plot (CSS 100) and rhizosphere soil of Miscanthus sacchariflorus cv. Geodae 1 grown in Bioenergy Crop Research Institute in Muan.
| Plot | pH (1:5) | EC (dS/m) | OM (g/kg) | T-N (%) | Av. P2O5(mg/kg) | Exchangeable cation (cmol/kg) | |||
|---|---|---|---|---|---|---|---|---|---|
| K | Ca | Mg | Na | ||||||
| CSS 100 | 8.0 | 4.19 | 70.3 | 0.5 | 45 | 0.9 | 71.2 | 2.2 | 1.4 |
| Muan | 7.3 | 0.43 | 24.6 | 0.1 | 224 | 0.5 | 6.1 | 2.2 | 0.2 |
적 요
본 연구는 매립예정 유휴간척지 토양에 하수슬러지 고화 물을 처리한 시험구 및 간척지 토양에서 적응성이 높은 바 이오에너지작물을 선발하여 간척지 토양을 활용한 바이오 에너지 원료작물의 재배와 바이오매스 생산 가능성에 대한 기초자료를 얻고자 5년간 재배시험을 수행하였으며 그 결 과를 요약하면 다음과 같다.
매립예정 간척지 토양에 하수슬러지 고화물 처리는 바 이오에너지작물의 생육에 있어서 토양양분 공급과 토 양표면의 염류집적을 저해하며 토양복토재로서 효과 적인 것으로 나타났다.
3년간의 에너지작물 재배결과, 각 하수슬러지 고화물 을 처리한 시험구 및 간척지 원지반토에서 가장 월등 한 생육을 보이는 에너지작물은 거대 1호 이었다.
각 시험구에서 가장 우수한 적응력을 나타내는 거대 1 호의 생육은 재배 5년간 지속적으로 증가하는 경향을 보였다.
정식 5년차에 하수슬러지 고화물을 처리한 시험구에 서 거대 1호의 바이오매스 수량은 27.5~32.7 ton/ha 이 었으며, 간척지 원지반토에서 바이오매스 수량은 18.9 ton/ha로 나타나 바이오에너지작물 재배면적 확대측면 에서 간척지 등의 유휴지에서도 약 15 ton/ha 이상의 바이오매스 생산 가능성이 있음을 시사한다.
하수슬러지 고화물을 처리한 토양에서 거대 1호의 생 육은 과영양상태를 보이며 바이오에너지 원료로서는 이용가치가 낮은 것으로 나타나, 향후 매립예정 유휴 간척지토양에서 하수슬러지 고화물을 에너지작물 재 배를 위한 토양복토재로서 이용할 시에 적정 처리범위 및 배비관리에 대한 고려가 절실히 요구될 것으로 사 료된다.


